| Обозначение: |  ГОСТ 9942-90 |
| Статус: | действующий |
| Название рус.: | Подшипники упорно-радиальные роликовые сферические одинарные. Технические условия |
| Название англ.: | Spherical single thrust-radial roller bearings. Specifications |
| Дата актуализации текста: | 06.04.2015 |
| Дата актуализации описания: | 01.07.2023 |
| Дата издания: | 01.08.2007 |
| Дата введения: | 01.07.1991 |
| Код ОКП: | 462670 |
| Взамен: | ГОСТ 9942-80 |
| Содержит требования: | СТ СЭВ 1476-89 |
| Нормативные ссылки: | ГОСТ 520-2002; ГОСТ 3478-79; ГОСТ Р 52598-2006 |
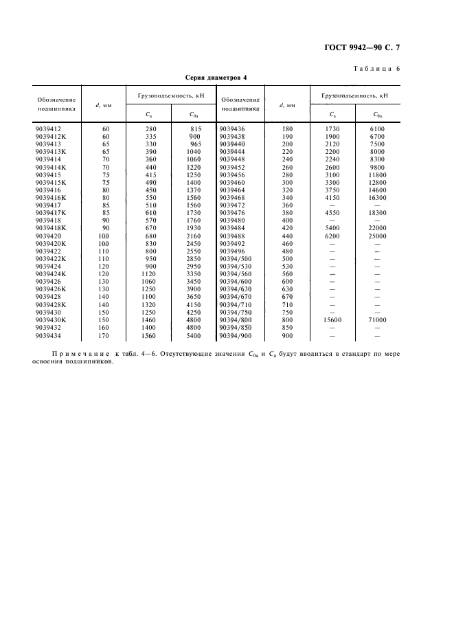
| Область применения: | Настоящий стандарт распространяется на одинарные сферические упорно-радиальные подшипники качения с асимметричными бочкообразными роликами серий диамертов 2, 3, 4, серий высот 9 по ГОСТ 3478. Стандарт устанавливает требования, обеспечивающие взаимозаменяемость одинарных сферических упорно-радиальных подшипников |
|
| Расположен в: |
|