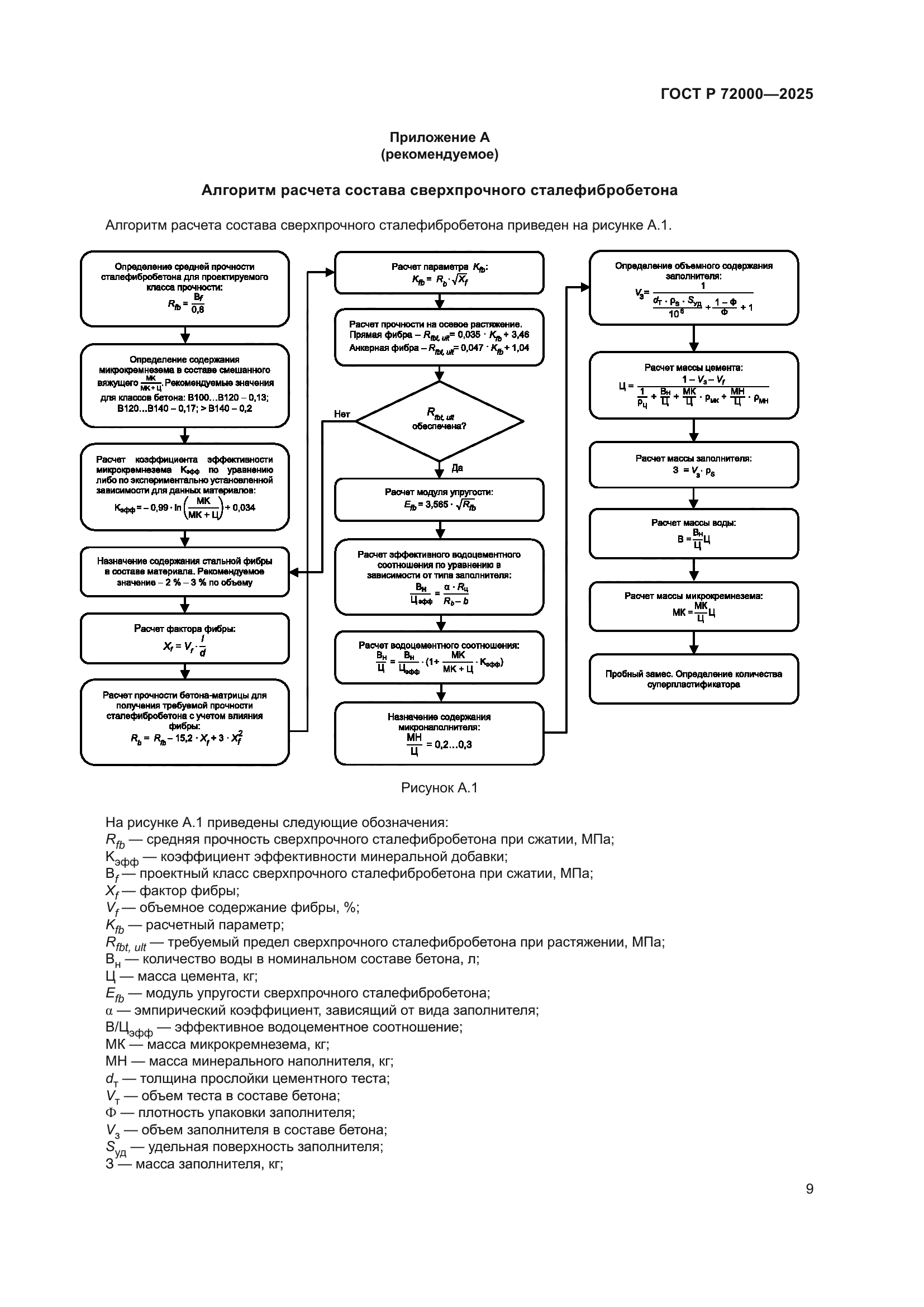
| ||||||||||||||||||||||||||||
Скачать ГОСТ Р 72000-2025 Дороги автомобильные общего пользования. Фибробетон сверхпрочный со стальной фиброй для мостовых конструкций. Технические условияДата актуализации: 01.06.2025
| ||||||||||||||||||||||||||||
| Обозначение: | ![]() ГОСТ Р 72000-2025 |
| Статус: | действующий |
| Название рус.: | Дороги автомобильные общего пользования. Фибробетон сверхпрочный со стальной фиброй для мостовых конструкций. Технические условия |
| Название англ.: | Automobile roads of general use. Ultra-high performance fiber reinforced concrete for bridge structures. Specifications |
| Дата актуализации текста: | 01.06.2025 |
| Дата актуализации описания: | 01.06.2025 |
| Дата издания: | 04.04.2025 |
| Дата введения: | 01.05.2025 |
| Нормативные ссылки: | ГОСТ 4.212; ГОСТ 8.610; ГОСТ 7473; ГОСТ 10060; ГОСТ 10180; ГОСТ 10181; ГОСТ 12730.1; ГОСТ 12730.5; ГОСТ 13015; ГОСТ 13087; ГОСТ 18105-2018; ГОСТ 24316; ГОСТ 24452; ГОСТ 24544; ГОСТ 24545; ГОСТ 25192; ГОСТ 26633; ГОСТ 27006; ГОСТ 27751; ГОСТ 28570; ГОСТ 30108; ГОСТ 31108; ГОСТ 31384; ГОСТ 31914; ГОСТ 33174; ГОСТ Р 55224; ГОСТ Р 59535-2021; ГОСТ Р 59714; ГОСТ Р 59715; ГОСТ Р ИСО 12491-2011 |
| Область применения: | Настоящий стандарт распространяется на сверхпрочные бетоны на цементных вяжущих и плотных заполнителях, дисперсно-армированные стальной фиброй классов по прочности на сжатие от Вf120 до Вf180 (далее – сверхпрочные сталефибробетоны), применяемые для проектирования, строительства, реконструкции, капитального ремонта и ремонта искусственных дорожных мостовых сооружений и конструкций, со сроком эксплуатации не менее 100 лет по ГОСТ 27751 |
| Расположен в: | |























