| ||||||||||||||||||||||||||||||||||||||
Скачать ГОСТ 35069-2024 Подшипники качения. Втулки закрепительные и стяжные. Классификация и комплектностьДата актуализации: 01.06.2025
| ||||||||||||||||||||||||||||||||||||||
| Обозначение: | ![]() ГОСТ 35069-2024 |
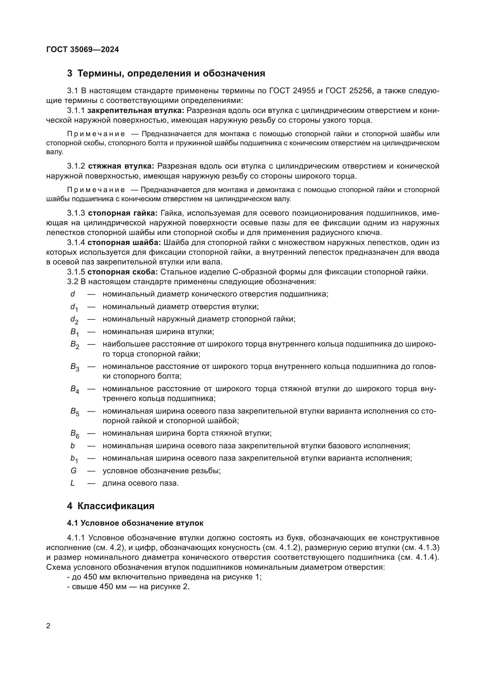
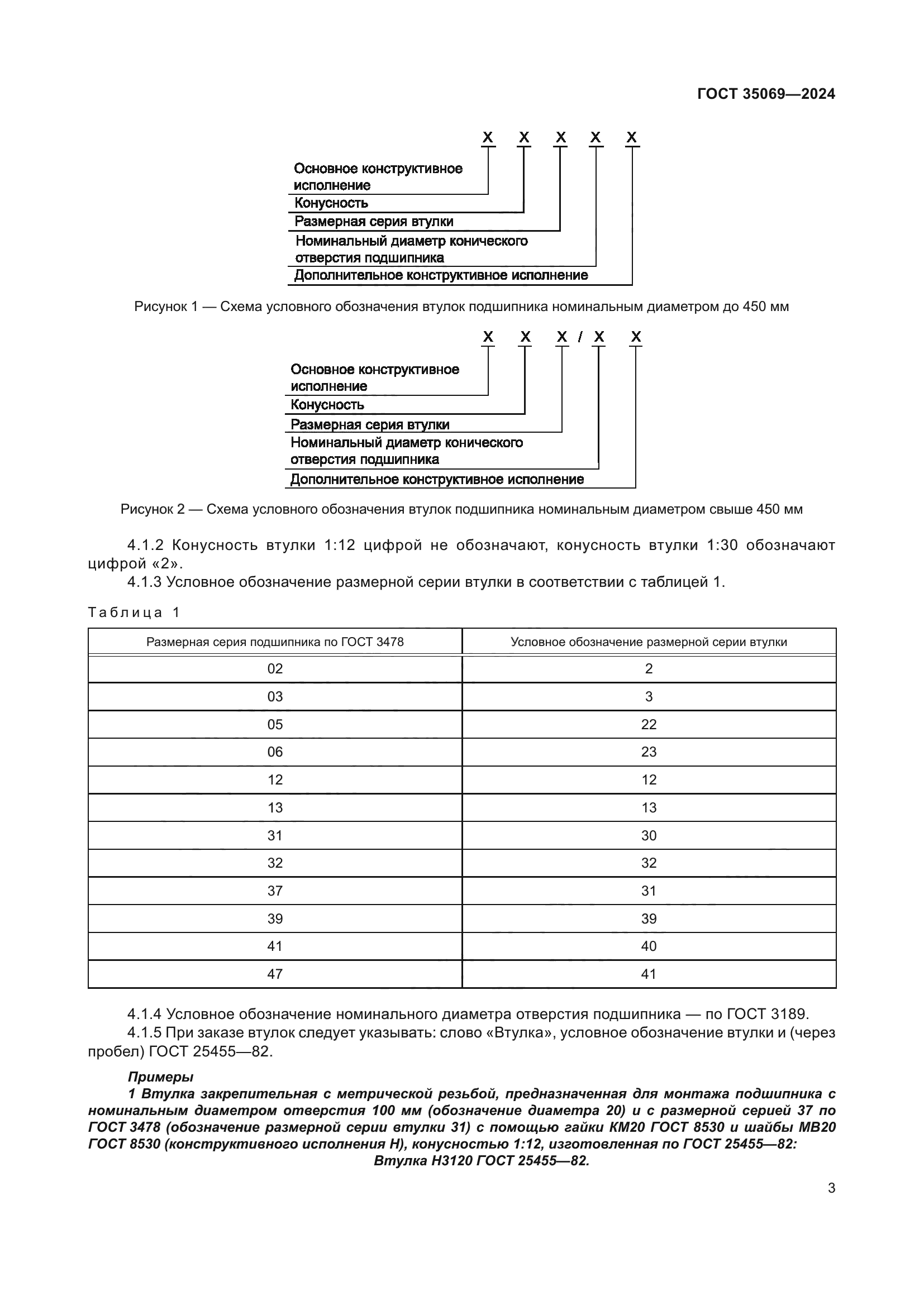
| Статус: | действующий |
| Название рус.: | Подшипники качения. Втулки закрепительные и стяжные. Классификация и комплектность |
| Название англ.: | Rolling bearings. Adapter and withdrawal sleeves. Classification and completeness |
| Дата актуализации текста: | 01.12.2024 |
| Дата актуализации описания: | 01.12.2024 |
| Дата регистрации: | 29.03.2024 |
| Дата издания: | 07.11.2024 |
| Дата введения: | 01.09.2024 |
| Взамен: | ГОСТ 13014-80; ГОСТ 24208-80 |
| Нормативные ссылки: | ГОСТ 3189; ГОСТ 3478; ГОСТ 6402; ГОСТ 7805; ГОСТ Р ИСО 4017-2013; ГОСТ 8530; ГОСТ 24955; ГОСТ 25256; ГОСТ 25455 |
| Область применения: | Настоящий стандарт распространяется на закрепительные втулки с конусностью 1:12 и стяжные втулки конусностью 1:12 и 1:30 (далее – втулки), изготовленные по ГОСТ 25455, для подшипников качения (далее – подшипники) размерных серий 39, 31, 41, 37, 47, 02, 12, 05, 32, 03, 13, 06 по ГОСТ 3478 и устанавливает их классификацию по конструктивным исполнениям и номинальным присоединительным размерам и комплектность |
| Приложение №1: | Поправка к ГОСТ 35069-2024 |
| Расположен в: | |




























| Обозначение: | Поправка к ГОСТ 35069-2024 |
| Дата введения: | 10.10.2024 |
