| ||||||||||||||||||||||||||||||||
Скачать ГОСТ Р 56188.3.200-2023 Технологии топливных элементов. Часть 3-200. Стационарные энергоустановки на основе топливных элементов. Методы испытаний для определения рабочих характеристикДата актуализации: 01.06.2025
| ||||||||||||||||||||||||||||||||
| Обозначение: | ![]() ГОСТ Р 56188.3.200-2023 |
| Статус: | действующий |
| Название рус.: | Технологии топливных элементов. Часть 3-200. Стационарные энергоустановки на основе топливных элементов. Методы испытаний для определения рабочих характеристик |
| Название англ.: | Fuel cell technologies. Part 3-200. Stationary fuel cell power stations. Performance test methods |
| Дата актуализации текста: | 01.07.2023 |
| Дата актуализации описания: | 01.07.2023 |
| Дата издания: | 11.04.2023 |
| Дата введения: | 31.05.2023 |
| Взамен: | ГОСТ Р МЭК 62282-3-200-2014 |
| Содержит требования: | IEC 62282-3-200(2015) |
| Нормативные ссылки: | ГОСТ 8.586.1; ГОСТ 8.586.2; ГОСТ 8.586.3; ГОСТ 8.586.4; ГОСТ 8.586.5; ГОСТ 22387.2; ГОСТ 30804.4.7; ГОСТ 31369-2008; ГОСТ 31371.1; ГОСТ 31371.2; ГОСТ 31371.3; ГОСТ 31371.4; ГОСТ 31371.5; ГОСТ 31371.6; ГОСТ 34100.3–2017; ГОСТ ИСО 5348;ГОСТ IEC 61000-4-13;ГОСТ IEC 62282-3-201; ГОСТ Р 53188.1; ГОСТ Р 53188.2; ГОСТ Р 54299; ГОСТ Р 56916; ГОСТ Р ИСО 3744; ГОСТ Р ИСО 7935; ГОСТ Р ИСО 10396; ГОСТ Р ИСО 10849; ГОСТ Р ИСО 11042-1; ГОСТ Р ИСО 14687-1; ГОСТ Р ИСО 16622 |
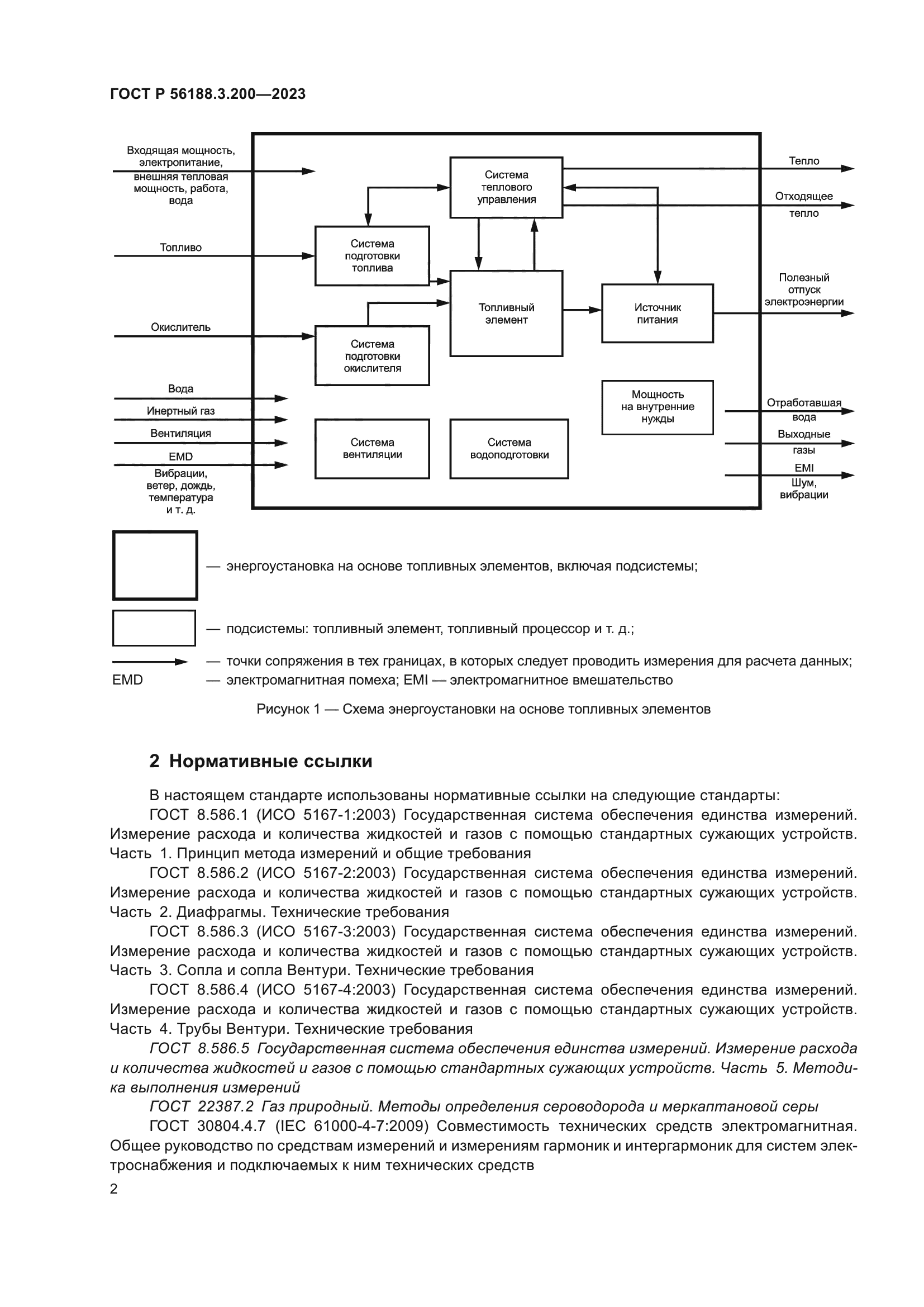
| Область применения: | Настоящий стандарт охватывает эксплуатационные и экологические характеристики работы стационарных энергетических систем – энергоустановок на основе топливных элементов. Применяются следующие методы испытания: - оценка выходной мощности при определенных условиях эксплуатации и их изменении; - коэффициент полезного действия (КПД) электрической и тепловой рекуперации при определенных условиях эксплуатации; - экологические характеристики при определенных условиях эксплуатации и их изменении, например: выбросы отработавших газов, шум и т. д |
| Расположен в: | |

























































