| ||||||||||||||||||||||||||||||||||
Скачать ГОСТ Р 56980.1-2022 Модули фотоэлектрические. Оценка соответствия техническим требованиям. Часть 1. Общие требованияДата актуализации: 01.06.2025
| ||||||||||||||||||||||||||||||||||
| Обозначение: | ![]() ГОСТ Р 56980.1-2022 |
| Статус: | действующий |
| Название рус.: | Модули фотоэлектрические. Оценка соответствия техническим требованиям. Часть 1. Общие требования |
| Название англ.: | Photovoltaic modules. Evaluation of compliance with technical requirements. Part 1. General requirements |
| Дата актуализации текста: | 01.07.2023 |
| Дата актуализации описания: | 01.12.2024 |
| Дата издания: | 24.01.2023 |
| Дата введения: | 01.01.2023 |
| Взамен: | ГОСТ Р 56980.1-2020 |
| Взамен в части: | ГОСТ Р 56980.1-1-2020 в части разделов 1, 2 и подраздела 3.1; ГОСТ Р МЭК 61646-2013 в части разделов 1-9 |
| Содержит требования: | IEC 61215-1(2021) |
| Нормативные ссылки: | ГОСТ 12.4.026; ГОСТ 1494; ГОСТ 34100.3;ГОСТ ISO/IEC 17025;ГОСТ IEC 60269-6; ГОСТ Р ИСО 5725-2; ГОСТ Р 56978 ; ГОСТ Р 56979; ГОСТ Р 56980.1.3; ГОСТ Р 56980.1.4; ГОСТ Р 56980.2-2022; ГОСТ Р 56981-2016; ГОСТ Р 56983; ГОСТ Р 57230-2016; ГОСТ Р 57902; ГОСТ Р 58646; ГОСТ Р 58648.2; ГОСТ Р 58698; ГОСТ Р 58809.1; ГОСТ Р 58809.2-2020; ГОСТ Р МЭК 60050-826; ГОСТ Р МЭК 60891; ГОСТ Р МЭК 60904-1; ГОСТ Р МЭК 60904-2; ГОСТ Р МЭК 60904-3; ГОСТ Р МЭК 60904-10; ГОСТ Р МЭК 61701; ГОСТ Р МЭК 61853-1; ГОСТ Р МЭК 62670-1 |
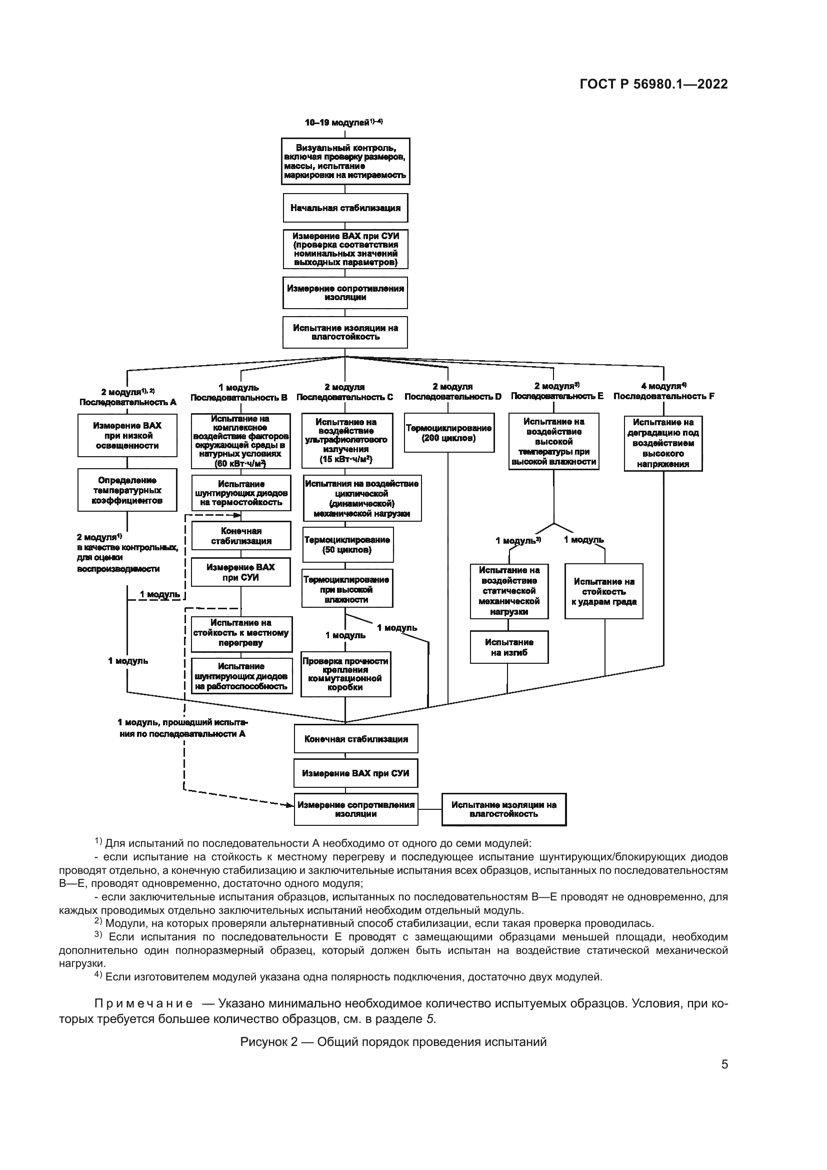
| Область применения: | Настоящий стандарт распространяется на плоские фотоэлектрические модули, предназначенные для длительной работы на открытом воздухе, и устанавливает общие требования для оценки соответствие таких модулей техническим требованиям. Методы испытаний фотоэлектрических модулей на соответствие техническим требованиям установлены в ГОСТ Р 56980.2. Специальные требования для фотоэлектрических модулей, изготовленных по разным технологиям, установлены в ГОСТ Р 56980.1.3 и ГОСТ Р 56980.1.4 (см. также [1] и [2]) |
| Расположен в: | |



































