| Обозначение: |  ГОСТ Р ИСО 14030-1-2022 |
| Статус: | действующий |
| Название рус.: | Оценка экологической результативности. Зеленые долговые инструменты. Часть 1. Механизм зеленых облигаций |
| Название англ.: | Environmental performance evaluation. Green debt instruments. Part 1. Process for green bonds |
| Дата актуализации текста: | 01.07.2023 |
| Дата актуализации описания: | 01.07.2023 |
| Дата издания: | 29.12.2022 |
| Дата введения: | 01.06.2023 |
| Аутентичен стандартам: | ISO 14030-1:2021 |
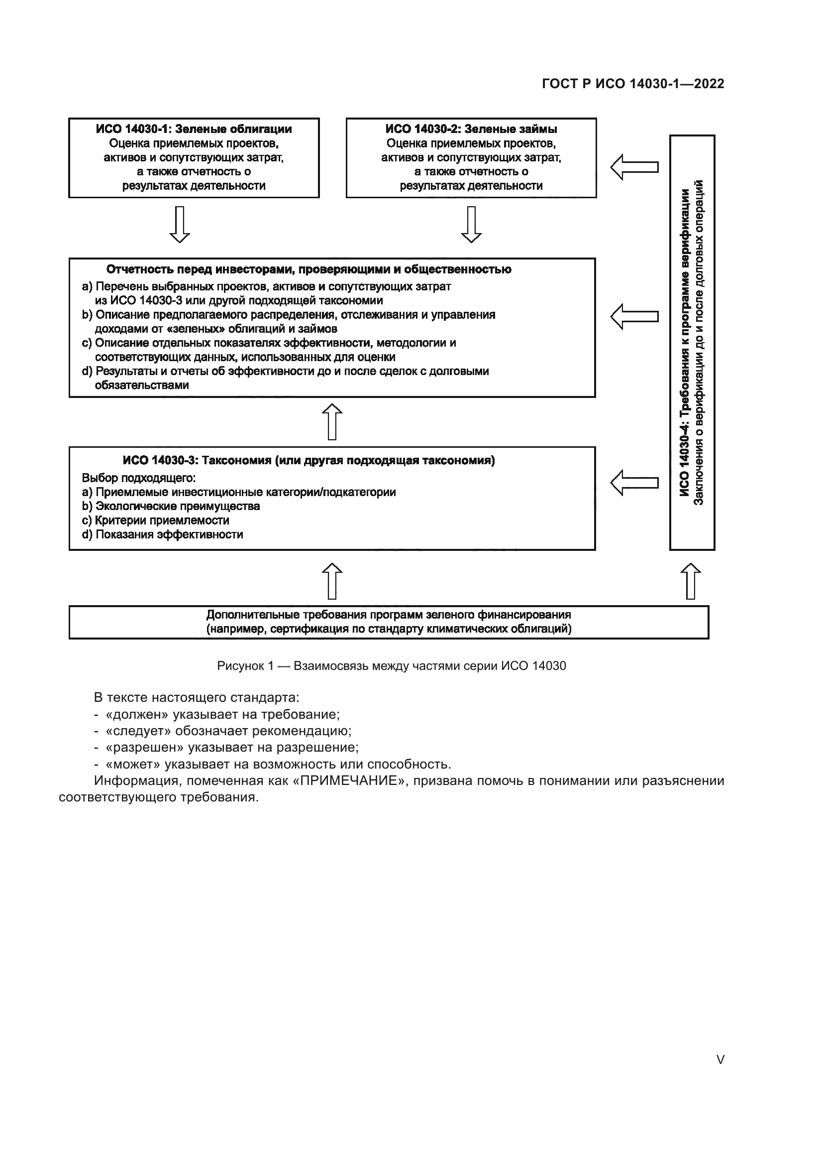
| Область применения: | Настоящий стандарт устанавливает принципы, требования и руководящие указания для: - обозначения облигаций, которые финансируют приемлемые проекты, активы и сопутствующие затраты в качестве «зеленых»; - управления и отчетности по использованию средств; - определения, мониторинга и отчетности о воздействии на окружающую среду; - отчетности перед заинтересованными сторонами; - валидации и верификации. Настоящий стандарт применим к любому эмитенту облигаций |
|
| Расположен в: |
|