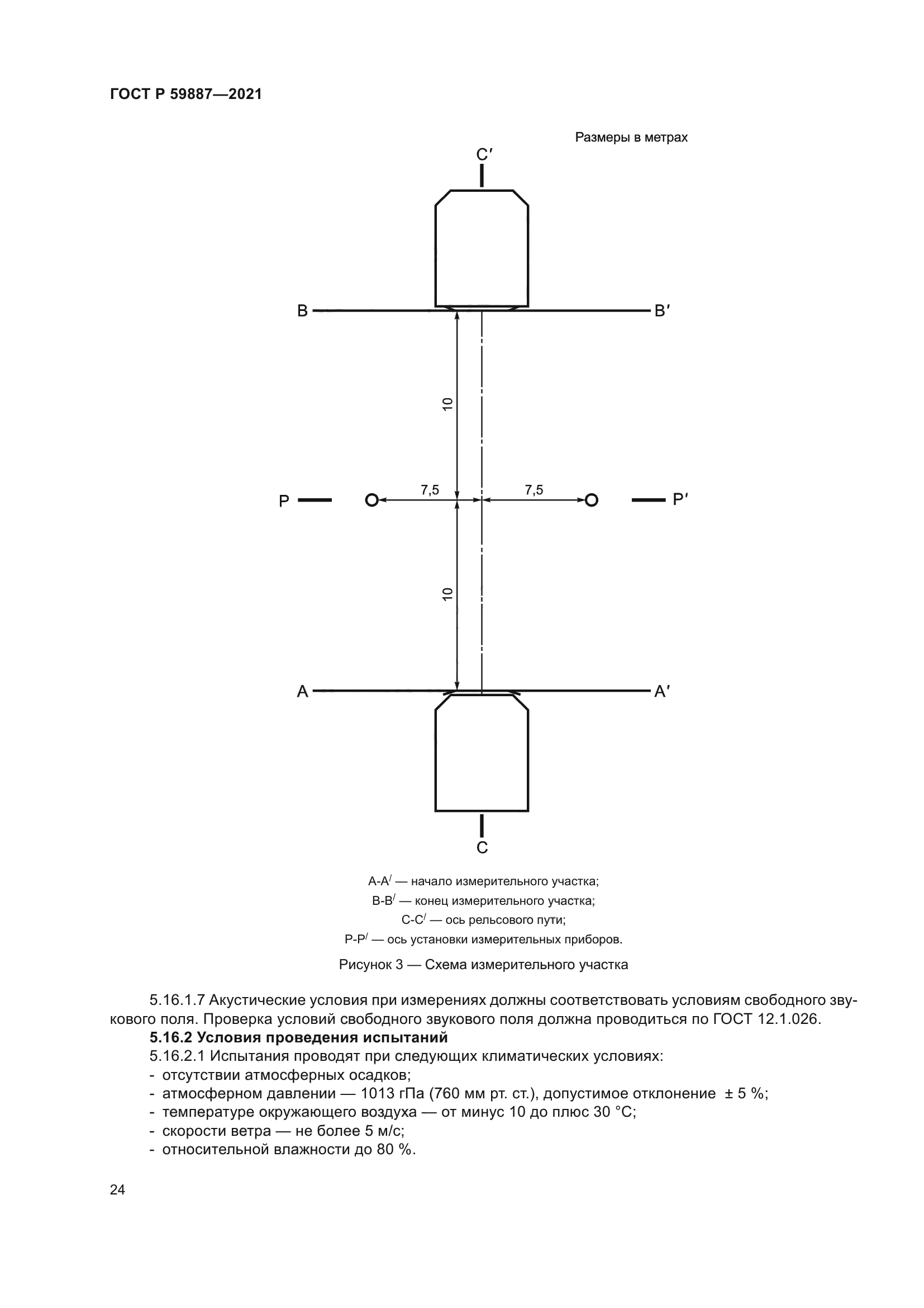
| ||||||||||||||||||||||||||||||||
Скачать ГОСТ Р 59887-2021 Легкорельсовые транспортные средства. Общие технические требования. Методы проверкиДата актуализации: 01.06.2025
| ||||||||||||||||||||||||||||||||
| Обозначение: | ![]() ГОСТ Р 59887-2021 |
| Статус: | отменён |
| Название рус.: | Легкорельсовые транспортные средства. Общие технические требования. Методы проверки |
| Название англ.: | Lightrail transport. General technical requirements. Test methods |
| Дата актуализации текста: | 01.06.2022 |
| Дата актуализации описания: | 01.07.2023 |
| Дата издания: | 11.01.2022 |
| Дата введения: | 15.03.2022 |
| Дата окончания срока действия: | 01.09.2022 |
| На территории РФ пользоваться: | ГОСТ 34809-2021 |
| Нормативные ссылки: | ГОСТ 9.032; ГОСТ 9.410; ГОСТ 12.1.006; ГОСТ 12.1.026; ГОСТ 12.1.044; ГОСТ 2582; ГОСТ 5257; ГОСТ 6143; ГОСТ 6144; ГОСТ 6962; ГОСТ 9219; ГОСТ 14254; ГОСТ 15150; ГОСТ 17516.1; ГОСТ 20304; ГОСТ 25712; ГОСТ 29205; ГОСТ 30804.4.3; ГОСТ 31319; ГОСТ 31192.2; ГОСТ 32565; ГОСТ ИСО 8041 |
| Область применения: | Настоящий стандарт распространяется на вновь изготавливаемые легкорельсовые транспортные средства (далее ЛТС), предназначенные для движения на линиях городского электрифицированного транспорта шириной колеи 1000 мм, 1435 мм и 1524 (1520) мм с питанием от однопроводной контактной сети в соответствии с ГОСТ 6962 |
| Расположен в: | |













































