| Обозначение: |  ГОСТ Р 59557-2021 |
| Статус: | действующий |
| Название рус.: | Измерения и управление в производственных процессах. Структуры и элементы данных в каталогах производственного оборудования. Часть 11. Перечни свойств измерительного оборудования для электронного обмена данными. Общие структуры |
| Название англ.: | Industrial-process measurement and control. Data structures and elements in process equipment catalogues. Part 11. Lists of properties of measuring equipment for electronic data exchange. Generic structures |
| Дата актуализации текста: | 01.06.2022 |
| Дата актуализации описания: | 01.07.2023 |
| Дата издания: | 29.11.2021 |
| Дата введения: | 30.04.2022 |
| Нормативные ссылки: | ГОСТ Р 59556-2021; ГОСТ Р 59558; ГОСТ Р 59560; ГОСТ МЭК 60947-5-6; ГОСТ Р МЭК 61069-5; ГОСТ Р МЭК 61508-6; ГОСТ Р МЭК 61987-1-2010 |
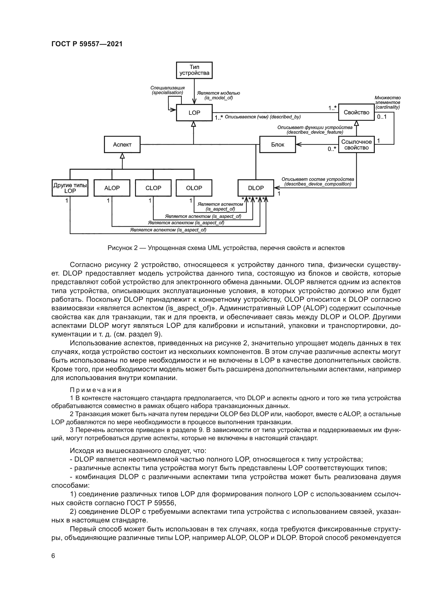
| Область применения: | В настоящем стандарте представлены: - описание измерительного оборудования для производственных процессов (словарь типов устройств) для включения в словарь унифицированных данных (CDD); - общие структуры эксплуатационных перечней свойств (OLOP) и перечней свойств устройств (DLOP) измерительного оборудования в соответствии с ГОСТ Р 59556. Общие структуры OLOP и DLOP содержат наиболее важные блоки для измерительного оборудования производственного процесса. Описание блоков, относящихся к конкретному типу оборудования, содержится в соответствующей части семейства стандартов, касающихся структур и элементов данных в каталогах производственного оборудования [1]. Настоящий стандарт также не содержит описаний свойств оборудования. Например, OLOP и DLOP с описанием блоков и свойств для датчиков расхода представлены в ГОСТ Р 59558 |
|
| Расположен в: |
|