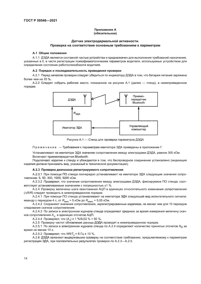
| ||||||||||||||||||||||||||||
Скачать ГОСТ Р 59546-2021 Бортовые устройства, обеспечивающие поддержание работоспособного состояния водителя, для безопасного вождения на основе анализа электродермальной активности. Технические требования и методы испытанийДата актуализации: 01.06.2025
| ||||||||||||||||||||||||||||
| Обозначение: | ![]() ГОСТ Р 59546-2021 |
| Статус: | действующий |
| Название рус.: | Бортовые устройства, обеспечивающие поддержание работоспособного состояния водителя, для безопасного вождения на основе анализа электродермальной активности. Технические требования и методы испытаний |
| Название англ.: | In-vehicle devices ensuring for maintenance of the driver working state for the safety driving based on electrodermal activity analysis. Technical requirements and test methods |
| Дата актуализации текста: | 01.06.2022 |
| Дата актуализации описания: | 01.07.2023 |
| Дата издания: | 09.06.2021 |
| Дата введения: | 30.08.2021 |
| Нормативные ссылки: | ГОСТ 9.014; ГОСТ 9.032; ГОСТ 9.301; ГОСТ 12.1.003; ГОСТ 12.1.004; ГОСТ 12.1.006; ГОСТ 12.2.007.0; ГОСТ 27.003-2016; ГОСТ 14192; ГОСТ 14254; ГОСТ 15150; ГОСТ 16019-2001; ГОСТ 23216-78; ГОСТ 24297; ГОСТ 27518; ГОСТ 28279-89; ГОСТ 30429-96; ГОСТ 33988; ГОСТ 33991; ГОСТ Р 8.563; ГОСТ Р 8.568; ГОСТ Р 50607-2012; ГОСТ Р 50905-96; ГОСТ Р 52230; ГОСТ Р 56274; ГОСТ Р МЭК 60073 |
| Область применения: | Настоящий стандарт распространяется на бортовые устройства, предназначенные для установки на транспортные средства категорий M и N в соответствии с [1] и обеспечивающие поддержание работоспособного состояния водителя для безопасного вождения на основе анализа электродермальной активности, и устанавливает технические требования к таким устройствам и методы их испытаний |
| Расположен в: | |























