| Обозначение: |  ГОСТ ISO 18602-2021 |
| Статус: | действующий |
| Название рус.: | Упаковка и окружающая среда. Оптимизация систем упаковки |
| Название англ.: | Packaging and the environment. Optimization of the packaging system |
| Дата актуализации текста: | 01.01.2023 |
| Дата актуализации описания: | 01.07.2023 |
| Дата регистрации: | 26.08.2021 |
| Дата издания: | 15.10.2021 |
| Дата введения: | 01.05.2022 |
| Аутентичен стандартам: | ISO 18602:2013 |
| Нормативные ссылки: | ISO 18601;ISO 21067 |
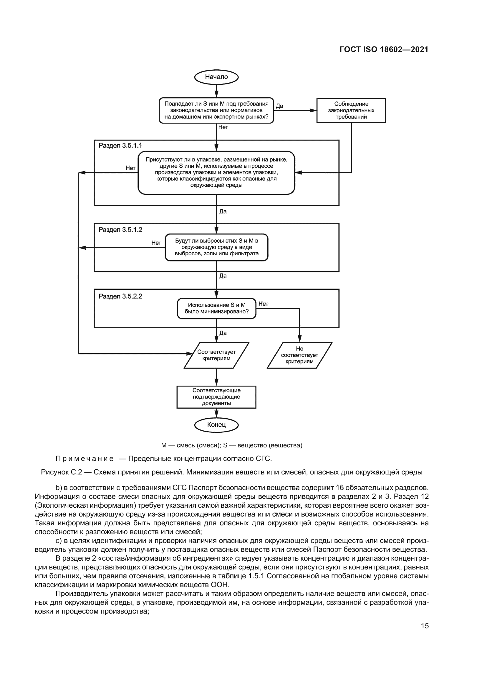
| Область применения: | Настоящий стандарт устанавливает требования и процедуры оценки упаковки для обеспечения оптимального соотношения веса или материала упаковки с ее функциональным назначением. Это одна из нескольких возможностей снижения влияния упаковки на окружающую среду |
| Приложение №1: | Поправка к ГОСТ ISO 18602-2021 |
| Приложение №2: | Поправка к ГОСТ ISO 18602-2021 |
|
| Расположен в: |
|