Информационная система
«Ёшкин Кот»

Скачать базу одним архивом
Скачать обновления
История создания базы
Карта сайта

Скачать ГОСТ Р 59232-2020 Единая энергетическая система и изолированно работающие энергосистемы. Релейная защита и автоматика. Автоматическое противоаварийное управление режимами энергосистем. Устройства автоматической частотной разгрузки. Нормы и требования

Дата актуализации: 01.06.2025

ГОСТ Р 59232-2020

Единая энергетическая система и изолированно работающие энергосистемы. Релейная защита и автоматика. Автоматическое противоаварийное управление режимами энергосистем. Устройства автоматической частотной разгрузки. Нормы и требования

Обозначение: ГОСТ Р 59232-2020
Статус:действующий
Название рус.:Единая энергетическая система и изолированно работающие энергосистемы. Релейная защита и автоматика. Автоматическое противоаварийное управление режимами энергосистем. Устройства автоматической частотной разгрузки. Нормы и требования
Название англ.:United power system and isolated power systems. Relay protection and automation. Automatic emergency control of electric power systems. Automatic frequency unloading devices. Norms and requirements
Дата актуализации текста:01.01.2022
Дата актуализации описания:01.01.2025
Дата издания:09.12.2020
Дата введения:01.01.2021
Нормативные ссылки:ГОСТ Р 55105;ГОСТ Р 57114;ГОСТ Р 58335;ГОСТ Р 58601
Область применения:Настоящий стандарт устанавливает: - основные требования к микропроцессорным устройствам автоматической частотной разгрузки (далее соответственно - АЧР, устройства АЧР), в том числе микропроцессорным устройствам релейной защиты и автоматики (далее - РЗА) с функциями АЧР и частотного автоматического повторного включения, обеспечивающие выполнение АЧР своих функций в электроэнергетической системе; - порядок и методику проведения испытаний устройств АЧР для проверки их соответствия указанным требованиям. Настоящий стандарт распространяется на субъектов оперативно-диспетчерского управления в электроэнергетике, субъектов электроэнергетики и потребителей электрической энергии, в том числе на объектах электроэнергетики и/или энергопринимающих установках которых установлены устройства АЧР, организации, осуществляющие деятельность по разработке, изготовлению, наладке, эксплуатации устройств и комплексов РЗА, сетевые и иные организации, осуществляющие подключение нагрузки потребителей под действие АЧР, проектные и научно-исследовательские организации. Настоящий стандарт предназначен для применения при подготовке, согласовании и выполнении технических условий на технологическое присоединение объектов электроэнергетики и энергопринимающих установок потребителей электрической энергии к электрическим сетям, строительстве, реконструкции, модернизации и техническом перевооружении объектов электроэнергетики, создании (модернизации) устройств и комплексов противоаварийной автоматики
Приложение №1:Изменение №1 к ГОСТ Р 59232-2020
Приложение №2:Поправка к ГОСТ Р 59232-2020
Расположен в:Государственные стандарты Общероссийский классификатор стандартов Энергетика и теплотехника Энергетика и теплотехника в целом
ГОСТ Р 59232-2020ГОСТ Р 59232-2020ГОСТ Р 59232-2020ГОСТ Р 59232-2020ГОСТ Р 59232-2020ГОСТ Р 59232-2020ГОСТ Р 59232-2020ГОСТ Р 59232-2020ГОСТ Р 59232-2020ГОСТ Р 59232-2020ГОСТ Р 59232-2020ГОСТ Р 59232-2020ГОСТ Р 59232-2020ГОСТ Р 59232-2020ГОСТ Р 59232-2020ГОСТ Р 59232-2020ГОСТ Р 59232-2020ГОСТ Р 59232-2020ГОСТ Р 59232-2020ГОСТ Р 59232-2020ГОСТ Р 59232-2020ГОСТ Р 59232-2020ГОСТ Р 59232-2020ГОСТ Р 59232-2020

Изменение №1 к ГОСТ Р 59232-2020

Обозначение:Изменение №1 к ГОСТ Р 59232-2020
Дата введения:15.12.2024


Изменение №1 к ГОСТ Р 59232-2020Изменение №1 к ГОСТ Р 59232-2020Изменение №1 к ГОСТ Р 59232-2020Изменение №1 к ГОСТ Р 59232-2020Изменение №1 к ГОСТ Р 59232-2020Изменение №1 к ГОСТ Р 59232-2020Изменение №1 к ГОСТ Р 59232-2020

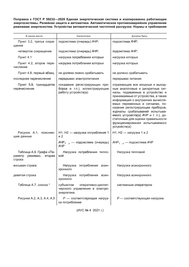
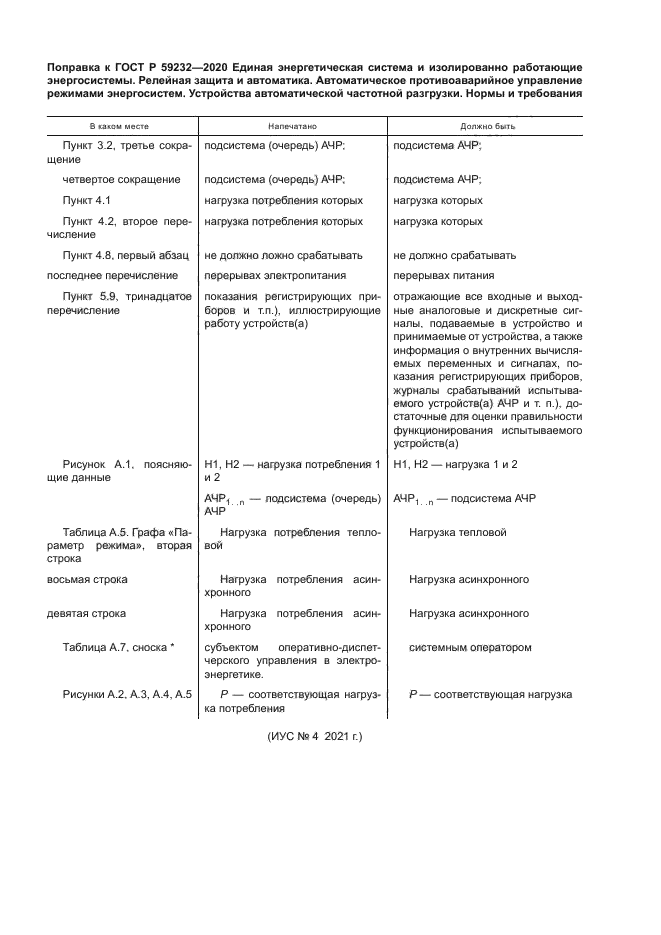
Поправка к ГОСТ Р 59232-2020

Обозначение:Поправка к ГОСТ Р 59232-2020
Дата введения:05.02.2021


Поправка к ГОСТ Р 59232-2020

© 2013 Ёшкин Кот :-) Карта сайта