Информационная система
«Ёшкин Кот»

Скачать базу одним архивом
Скачать обновления
История создания базы
Карта сайта

Скачать ГОСТ Р 59092-2020 Оборудование магнитно-резонансное для медицинской визуализации. Контроль качества изображений. Методы испытаний

Дата актуализации: 01.06.2025

ГОСТ Р 59092-2020

Оборудование магнитно-резонансное для медицинской визуализации. Контроль качества изображений. Методы испытаний

Обозначение: ГОСТ Р 59092-2020
Статус:действующий
Название рус.:Оборудование магнитно-резонансное для медицинской визуализации. Контроль качества изображений. Методы испытаний
Название англ.:Magnetic resonance equipment for medical imaging. Quality control of images. Test methods
Дата актуализации текста:01.01.2022
Дата актуализации описания:01.07.2023
Дата издания:20.10.2020
Дата введения:01.03.2021
Нормативные ссылки:ГОСТ 58450;ГОСТ Р МЭК 60601-2-33
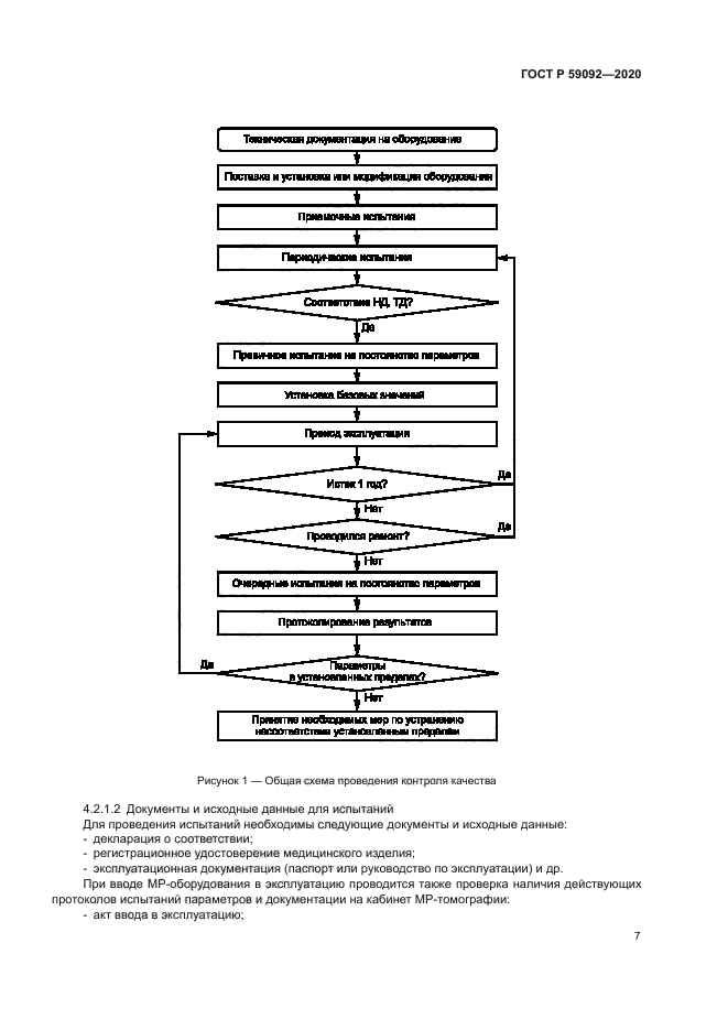
Область применения:Настоящий стандарт распространяется на магнитно-резонансное оборудование для медицинской визуализации (МР-оборудование) для обеспечения требуемой точности получаемых данных с целью повышения диагностической ценности результатов МР-исследований. Изображения, зарегистрированные с использованием МР-оборудования, разделяются на структурные и количественные. К структурным относятся изображения, значение интенсивности сигнала в каждом пикселе которых зависит от нескольких параметров. Например, изображения, взвешенные по временам продольной или поперечной релаксации, при этом уровень сигнала зависит как от физических свойств биологических тканей, так и от параметров импульсной последовательности. К количественным относятся изображения, на которых интенсивность сигнала в области визуализируемого объекта соответствует значению одного из физических параметров биологической ткани, например одного из времен продольной, поперечной релаксации, протонной плотности, коэффициента диффузии и др
Расположен в:Государственные стандарты Общероссийский классификатор стандартов Здравоохранение Медицинское оборудование Медицинское оборудование в целом
ГОСТ Р 59092-2020ГОСТ Р 59092-2020ГОСТ Р 59092-2020ГОСТ Р 59092-2020ГОСТ Р 59092-2020ГОСТ Р 59092-2020ГОСТ Р 59092-2020ГОСТ Р 59092-2020ГОСТ Р 59092-2020ГОСТ Р 59092-2020ГОСТ Р 59092-2020ГОСТ Р 59092-2020ГОСТ Р 59092-2020ГОСТ Р 59092-2020ГОСТ Р 59092-2020ГОСТ Р 59092-2020ГОСТ Р 59092-2020ГОСТ Р 59092-2020ГОСТ Р 59092-2020ГОСТ Р 59092-2020ГОСТ Р 59092-2020ГОСТ Р 59092-2020ГОСТ Р 59092-2020ГОСТ Р 59092-2020ГОСТ Р 59092-2020ГОСТ Р 59092-2020ГОСТ Р 59092-2020ГОСТ Р 59092-2020ГОСТ Р 59092-2020ГОСТ Р 59092-2020ГОСТ Р 59092-2020ГОСТ Р 59092-2020ГОСТ Р 59092-2020ГОСТ Р 59092-2020ГОСТ Р 59092-2020ГОСТ Р 59092-2020ГОСТ Р 59092-2020ГОСТ Р 59092-2020ГОСТ Р 59092-2020ГОСТ Р 59092-2020ГОСТ Р 59092-2020ГОСТ Р 59092-2020ГОСТ Р 59092-2020ГОСТ Р 59092-2020ГОСТ Р 59092-2020ГОСТ Р 59092-2020ГОСТ Р 59092-2020ГОСТ Р 59092-2020ГОСТ Р 59092-2020ГОСТ Р 59092-2020ГОСТ Р 59092-2020ГОСТ Р 59092-2020ГОСТ Р 59092-2020

© 2013 Ёшкин Кот :-) Карта сайта