| ||||||||||||||||||||||||||||||||||||||||||
Скачать ГОСТ 34721-2021 Газ природный. Определение плотности пикнометрическим методомДата актуализации: 01.06.2025
| ||||||||||||||||||||||||||||||||||||||||||
| Обозначение: | ![]() ГОСТ 34721-2021 |
| Статус: | действующий |
| Название рус.: | Газ природный. Определение плотности пикнометрическим методом |
| Название англ.: | Natural gas. Determination of density by picknometric method |
| Дата актуализации текста: | 01.01.2024 |
| Дата актуализации описания: | 01.07.2023 |
| Дата регистрации: | 19.03.2021 |
| Дата издания: | 30.04.2021 |
| Дата введения: | 01.01.2022 |
| Нормативные ссылки: | ГОСТ 12.0.004; ГОСТ 12.1.004; ГОСТ 12.1.005; ГОСТ 12.1.007; ГОСТ 12.1.019; ГОСТ 12.1.044; ГОСТ 12.4.009; ГОСТ 12.4.021; ГОСТ 17.2.3.02; ГОСТ 982; ГОСТ 1770; ГОСТ 2603; ГОСТ 3164; ГОСТ 4204; ГОСТ 4220; ГОСТ 5556; ГОСТ 5632; ГОСТ 5962; ГОСТ 6709; ГОСТ 9147; ГОСТ 9293; ГОСТ 9433; ГОСТ 10007; ГОСТ 12026; ГОСТ 17299; ГОСТ 18300; ГОСТ 18481; ГОСТ 22524; ГОСТ 25336; ГОСТ 30852.5; ГОСТ 30852.11; ГОСТ 30852.19; ГОСТ 31369; ГОСТ 31370-2008; ГОСТ 31610.0;ГОСТ OIML R 76-1;ГОСТ OIML R 111-1; ГОСТ Р 58577-2019; ГОСТ Р 58144-2018; ГОСТ Р 55878-2013 |
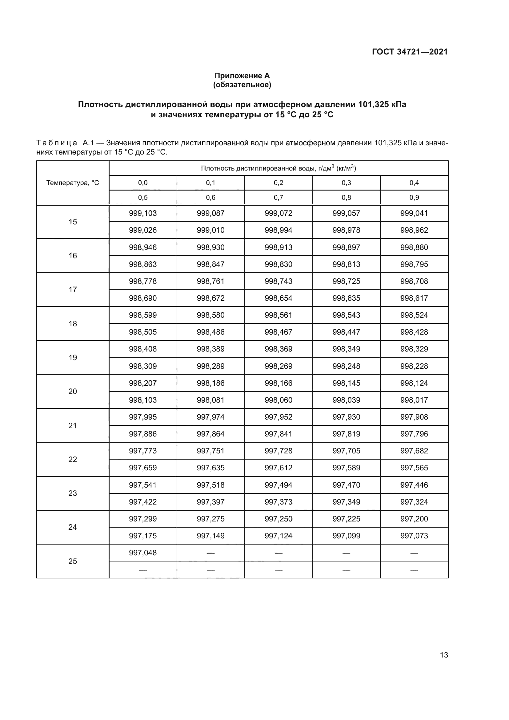
| Область применения: | Настоящий стандарт распространяется на природный газ, поступающий с промысловых установок подготовки, подземных хранилищ газа и газоперерабатывающих заводов в магистральные газопроводы (в том числе газ, транспортируемый по ним), поставляемый в системы газораспределения и используемый в качестве сырья и топлива промышленного и коммунально-бытового назначения, применяемый в качестве компримированного газомоторного топлива для двигателей внутреннего сгорания, а также регазифицированный сжиженный природный газ |
| Приложение №1: | Поправка к ГОСТ 34721-2021 |
| Приложение №2: | Поправка к ГОСТ 34721-2021 |
| Расположен в: | |





















| Обозначение: | Поправка к ГОСТ 34721-2021 |
| Дата введения: | 11.09.2023 |

| Обозначение: | Поправка к ГОСТ 34721-2021 |
| Дата введения: | 13.05.2025 |
