| Обозначение: |  ГОСТ Р 58837-2020 |
| Статус: | действующий |
| Название рус.: | Автомобильные транспортные средства. Системы автоматизированного управления. Общие принципы проектирования |
| Название англ.: | Motor vehicles. Automated control systems. General principles for design |
| Дата актуализации текста: | 01.06.2021 |
| Дата актуализации описания: | 01.07.2023 |
| Дата издания: | 02.11.2020 |
| Дата введения: | 01.04.2021 |
| Нормативные ссылки: | ГОСТ 15150; ГОСТ 33991; ГОСТ Р 50607; ГОСТ Р 51318.25; ГОСТ Р 56205; ГОСТ 58497; ГОСТ Р 58804; ГОСТ Р 58823-2020; ГОСТ Р 58824; ГОСТ Р 58834-2020; ГОСТ Р 58839; ГОСТ Р ИСО 15006;СП 34.13330 |
| Область применения: | Настоящий стандарт устанавливает общие принципы проектирования бортовых систем автоматизированного управления, включающих системы автоматизации управления движением (далее – САУД) и автоматические системы управления движением (далее – АСУД), а также систем активной безопасности (далее – САБ) или их подсистем, устанавливаемых на транспортные средства (далее – ТС) категорий M и N согласно [1], обладающие уровнями автоматизации 1—5 задачи управления движением (далее – ЗУД) |
|
| Расположен в: |
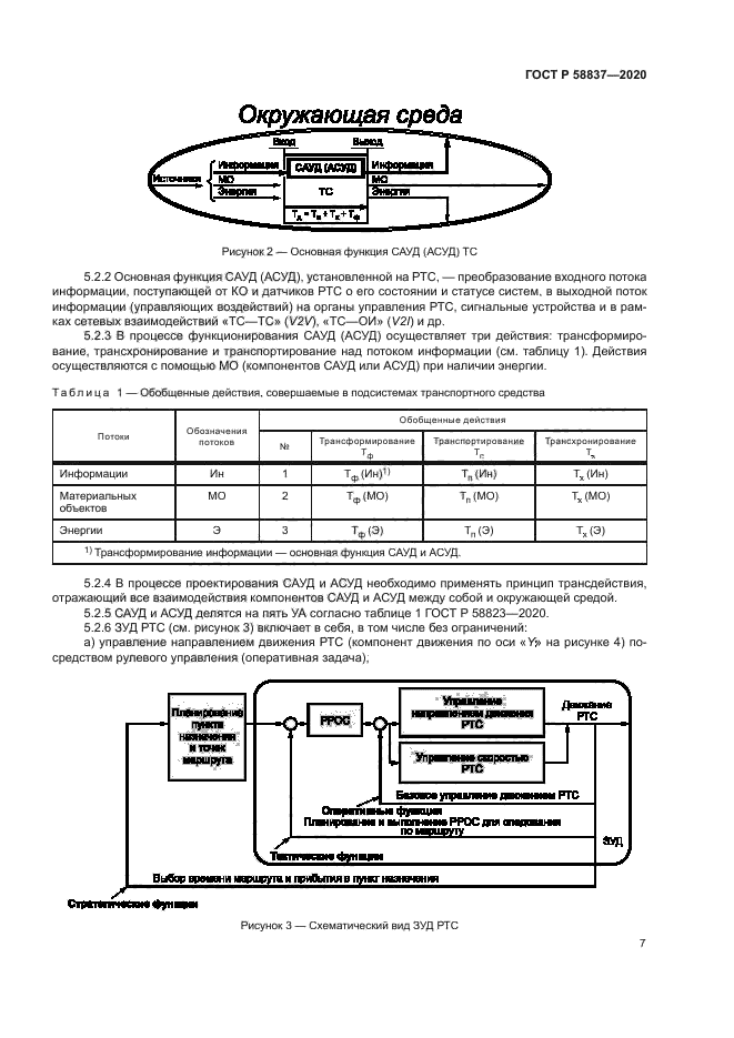
|