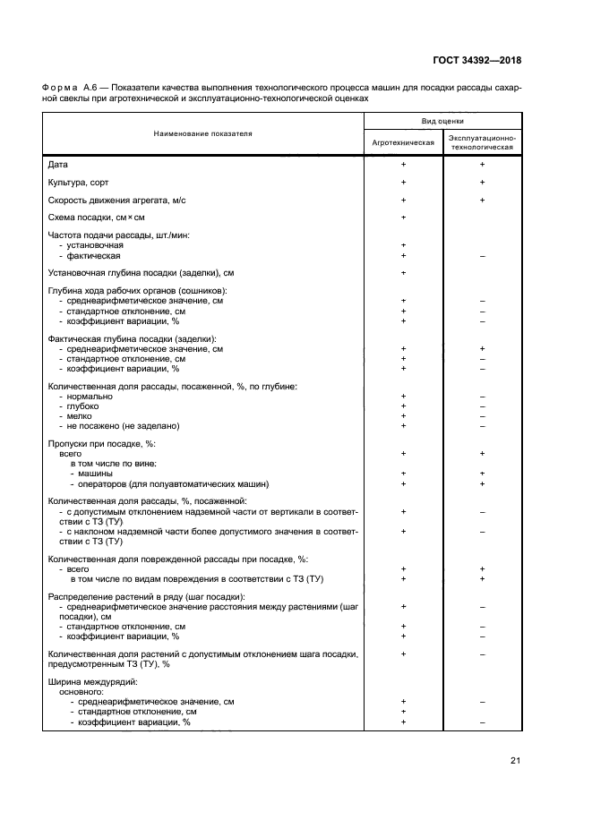
| ||||||||||||||||||||||||||||||||
Скачать ГОСТ 34392-2018 Техника сельскохозяйственная. Машины рассадопосадочные. Методы испытанийДата актуализации: 01.06.2025
| ||||||||||||||||||||||||||||||||
| Обозначение: | ![]() ГОСТ 34392-2018 |
| Статус: | действующий |
| Название рус.: | Техника сельскохозяйственная. Машины рассадопосадочные. Методы испытаний |
| Название англ.: | Agricultural machinery. Transplanters. Test methods |
| Дата актуализации текста: | 01.01.2021 |
| Дата актуализации описания: | 01.07.2023 |
| Дата регистрации: | 28.02.2018 |
| Дата издания: | 09.01.2019 |
| Дата введения: | 01.09.2019 |
| Код ОКП: | 473332 |
| Нормативные ссылки: | ГОСТ 12.2.002-91; ГОСТ 12.2.111-85; ГОСТ 15.001-88; ГОСТ 27.002-89; ГОСТ 166-89; ГОСТ 427-75; ГОСТ 5378-88; ГОСТ 7502-98; ГОСТ 9392-89; ГОСТ Р 53489-2009; ГОСТ Р 15.201-2000; ГОСТ 13837-79; ГОСТ 162-89; ГОСТ 16504-81; ГОСТ 20915-2011; ГОСТ 21623-76; ГОСТ 22224-83; ГОСТ 23932-90; ГОСТ 24055-2016; ГОСТ 26025-83; ГОСТ 26026-83; ГОСТ 26336-84; ГОСТ 27388-87; ГОСТ 28305-89;ГОСТ ISO 4254-1-2013;ГОСТ OIML R 76-1-2011; ГОСТ Р 54783-2011; ГОСТ Р ИСО 4254-1-2011 |
| Область применения: | Настоящий стандарт распростарняется на автоматические и полуавтоматические рассадопосадочные машины для посадки: - овощных культур (капусты, томатов, огурцов, перца, баклажанов); - табака, махорки; - клубники, дичков плодовых культур; - сахарной свеклы; Настоящий стандарт устанавливает методы испытаний вышеперечисленных типов машин |
| Расположен в: | |








































