| Обозначение: |  ГОСТ Р 60.3.0.1-2017 |
| Статус: | действующий |
| Название рус.: | Роботы и робототехнические устройства. Промышленные манипуляционные роботы. Системы автоматической смены рабочего органа. Термины, определения и представление характеристик |
| Название англ.: | Robots and robotic devices. Manipulating industrial robots. Automatic end effector exchange systems. Vocabulary and presentation of characteristics |
| Дата актуализации текста: | 01.01.2021 |
| Дата актуализации описания: | 01.07.2023 |
| Дата издания: | 20.10.2018 |
| Дата введения: | 01.07.2018 |
| Код ОКП: | 388600 |
| Аутентичен стандартам: | ISO 11593:1996 |
| Нормативные ссылки: | ISO 8373:1994;ISO 9409-1:1996;ISO 9409-2:1996;ISO 9787:1990 |
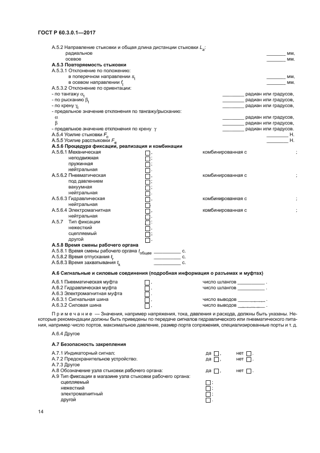
| Область применения: | Настоящий стандарт определяет термины, относящиеся к системам автоматической смены рабочего органа, используемым в промышленных манипуляционных роботах, работающих в производственной среде. Термины представлены своими символами, единицами измерения, определениями и описаниями. Определения включают в себя применимые ссылки на существующие стандарты. В приложении А приведен формат представления характеристик систем автоматической смены рабочего органа |
|
| Расположен в: |
|