| ||||||||||||||||||||||||||||||
Скачать ГОСТ Р 57903-2017 Системы фотоэлектрические. Автономные насосные системы для подачи воды. Определение выходных характеристик. Выбор и оценкаДата актуализации: 01.06.2025
| ||||||||||||||||||||||||||||||
| Обозначение: | ![]() ГОСТ Р 57903-2017 |
| Статус: | действующий |
| Название рус.: | Системы фотоэлектрические. Автономные насосные системы для подачи воды. Определение выходных характеристик. Выбор и оценка |
| Название англ.: | Photovoltaic systems. Stand-alone pumping systems for water supply. Performance determination. Selection and verification |
| Дата актуализации текста: | 01.01.2021 |
| Дата актуализации описания: | 01.07.2023 |
| Дата издания: | 29.11.2017 |
| Дата введения: | 01.07.2018 |
| Содержит требования: | IEC 62253(2011) |
| Нормативные ссылки: | ГОСТ 6134-2007; ГОСТ 13823; ГОСТ 14254; ГОСТ 15150-69; ГОСТ 18311; ГОСТ 26287; ГОСТ 28203; ГОСТ 30630.1.2; ГОСТ 30804.6.2; ГОСТ 30804.6.3; ГОСТ 30805.14.1; ГОСТ 30805.14.2; ГОСТ 31839; ГОСТ 31840;ГОСТ IEC 60332-1-2;ГОСТ IEC 60335-2-41;ГОСТ IEC 60947-1;ГОСТ ISO 9906; ГОСТ ИСО/МЭК 17025;ГОСТ ISO 17769-1;ГОСТ ISO 17769-2; ГОСТ Р 12.4.026–2001; ГОСТ Р 50571.3; ГОСТ Р 50571.5.52; ГОСТ Р 50571.5.54; ГОСТ Р 50571.7.712-2013; ГОСТ Р 51524; ГОСТ Р 51597; ГОСТ Р 54806; ГОСТ Р 56978-2016; ГОСТ Р 56980-2016; ГОСТ Р 56983; ГОСТ Р 57227; ГОСТ Р 57229; ГОСТ Р МЭК 60068-2-30; ГОСТ Р МЭК 60891; ГОСТ Р МЭК 60904-1-2013; ГОСТ Р МЭК 60904-2; ГОСТ Р МЭК 60904-3; ГОСТ Р МЭК 60904-5-2013; ГОСТ Р МЭК 60904-7; ГОСТ Р МЭК 60904-8; ГОСТ Р МЭК 60904-10-2013; ГОСТ Р МЭК 61427-1; ГОСТ Р МЭК 61646; ГОСТ Р МЭК 61730-1; ГОСТ Р МЭК 61730-2; ГОСТ Р МЭК 61829; ГОСТ Р МЭК 61853-1-2013; ГОСТ Р МЭК 62093; ГОСТ Р МЭК 62124-2013; ГОСТ Р МЭК 62305-1; ГОСТ Р МЭК 62305-2 |
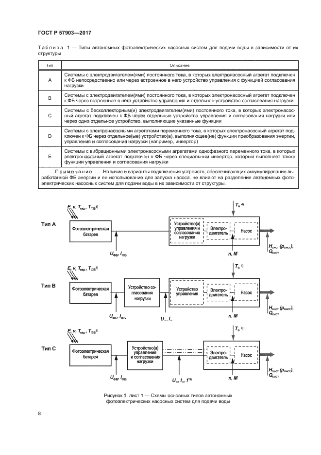
| Область применения: | Настоящий стандарт распространяется на автономные фотоэлектрические насосные системы для подачи воды. Стандарт устанавливает методы определения выходных характеристик таких фотоэлектрических систем и требования к их выбору и оценке по техническим характеристикам. Настоящий стандарт не распространяется на фотоэлектрические насосные системы с аккумулированием электрической энергии, за исключением систем, в которых накопленная энергия используется только для запуска насоса (менее 100 Вт·ч). Требования, установленные в настоящем стандарте для выбора и оценки, распространяются как на предварительную оценку, сравнение и выбор систем заказчиком, в тендерах, заявках и т. п., так и на все этапы создания систем. Однако при проектировании, при выборе вариантов, проверке правильности расчетов и соответствия системы заданным или требуемым условиям на разных этапах создания систем может быть необходим более детальный учет возможных условий эксплуатации, особенностей работы систем и особенностей компонентов |
| Расположен в: | |
























































