| Обозначение: |  ГОСТ Р 57628-2017 |
| Статус: | действующий |
| Название рус.: | Информационная технология. Методы и средства обеспечения безопасности. Руководство по разработке профилей защиты и заданий по безопасности |
| Название англ.: | Information technology. Security techniques. Guide for the production of Protection Profiles and Security Targets |
| Дата актуализации текста: | 01.01.2018 |
| Дата актуализации описания: | 01.07.2023 |
| Дата издания: | 15.09.2017 |
| Дата введения: | 01.01.2018 |
| Взамен: | ГОСТ Р ИСО/МЭК ТО 15446-2008 |
| Нормативные ссылки: | ГОСТ Р ИСО/МЭК 15408-1-2012; ГОСТ Р ИСО/МЭК 15408-2-2013; ГОСТ Р ИСО/МЭК 15408-3-2013; ГОСТ Р ИСО/МЭК 18045-2013 |
| Область применения: | Настоящий стандарт представляет собой руководство по разработке профилей защиты (ПЗ) и заданий по безопасности (ЗБ) в соответствии с комплексом стандартов ГОСТ Р ИСО/МЭК 15408. Настоящий стандарт не предназначен для использования в качестве вводного материала по оценке безопасности продуктов ИТ в соответствии с ГОСТ Р ИСО/МЭК 15408. Для получения такой информации следует использовать ГОСТ Р ИСО/МЭК 15408-1. В настоящем стандарте не рассматриваются вопросы, не связанные непосредственно со спецификацией ПЗ и ЗБ, например, такие как регистрация ПЗ и обращение с защищаемой интеллектуальной собственностью |
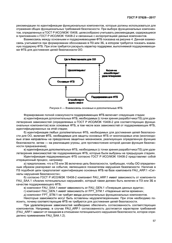
|
| Расположен в: |
|