Информационная система
«Ёшкин Кот»

Скачать базу одним архивом
Скачать обновления
История создания базы
Карта сайта

Скачать ГОСТ Р 56828.21-2017 Наилучшие доступные технологии. Производство керамического кирпича и огнеупорных изделий. Аспекты повышения энергетической и экологической эффективности

Дата актуализации: 01.06.2025

ГОСТ Р 56828.21-2017

Наилучшие доступные технологии. Производство керамического кирпича и огнеупорных изделий. Аспекты повышения энергетической и экологической эффективности

Обозначение: ГОСТ Р 56828.21-2017
Статус:действующий
Название рус.:Наилучшие доступные технологии. Производство керамического кирпича и огнеупорных изделий. Аспекты повышения энергетической и экологической эффективности
Название англ.:Best available techniques. Production of ceramic bricks and stones. Aspects for improving energy and environmental efficiency
Дата актуализации текста:01.01.2021
Дата актуализации описания:01.07.2023
Дата издания:21.08.2019
Дата введения:01.12.2017
Взамен:ГОСТ Р 55646-2013
Нормативные ссылки:ГОСТ 530;ГОСТ 5040;ГОСТ 20901;ГОСТ 21436;ГОСТ 24704;ГОСТ 28874;ГОСТ Р ИСО 9001;ГОСТ Р ИСО 14001;ГОСТ Р ИСО 14050;ГОСТ Р ИСО 50001;ГОСТ Р 51387;ГОСТ Р 51750;ГОСТ Р 52104;ГОСТ Р 54097;ГОСТ Р 54195;ГОСТ Р 54196;ГОСТ Р 54197;ГОСТ Р 54198
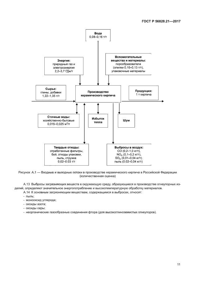
Область применения:Настоящий стандарт устанавливает практические рекомендации по применению наилучших доступных технологий (НДТ) повышения энергетической эффективности и экологической эффективности при производстве огнеупорных изделий и керамического кирпича, содержащихся в информационно-техническом справочнике [1] и европейских справочных документах [1] - [6], адаптированных к российским условиям [7]. Настоящий стандарт распространяется на проектирование новых предприятий по производству огнеупорных изделий и керамического кирпича, на реконструкцию (модернизацию) действующих предприятий, проведение процедуры оценки воздействия на окружающую среду и государственной экспертизы соответствующей документации. Требования, установленные настоящим стандартом, предназначены для добровольного применения в нормативно-правовой, нормативной, технической и проектно-конструкторской документации, а также в научно-технической, учебной и справочной литературе применительно к процессам производстве огнеупорных изделий и керамического кирпича, обеспечивая при этом сохранение и защиту окружающей среды, здоровья и жизни людей
Расположен в:Государственные стандарты Общероссийский классификатор стандартов Охрана окружающей среды, защита человека от воздействия окружающей среды. Безопасность Охрана окружающей среды Окружающая среда и охрана окружающей среды в целом Классификатор государственных стандартов Общетехнические и организационно-методические стандарты Система документации Система стандартов в области охраны природы и улучшения использования природных ресурсов, безопасности труда, научной организации труда
ГОСТ Р 56828.21-2017ГОСТ Р 56828.21-2017ГОСТ Р 56828.21-2017ГОСТ Р 56828.21-2017ГОСТ Р 56828.21-2017ГОСТ Р 56828.21-2017ГОСТ Р 56828.21-2017ГОСТ Р 56828.21-2017ГОСТ Р 56828.21-2017ГОСТ Р 56828.21-2017ГОСТ Р 56828.21-2017ГОСТ Р 56828.21-2017ГОСТ Р 56828.21-2017ГОСТ Р 56828.21-2017ГОСТ Р 56828.21-2017ГОСТ Р 56828.21-2017ГОСТ Р 56828.21-2017ГОСТ Р 56828.21-2017ГОСТ Р 56828.21-2017ГОСТ Р 56828.21-2017

© 2013 Ёшкин Кот :-) Карта сайта