| Обозначение: |  ГОСТ Р 66.9.04-2017 |
| Статус: | действующий |
| Название рус.: | Оценка опыта и деловой репутации субъектов предпринимательской деятельности. Национальная система стандартов. Оценка опыта и деловой репутации охранных организаций |
| Название англ.: | Evaluation of experience and business reputation of enterprises. The national system of standards. Evaluation of experience and business reputation of security organizations |
| Дата актуализации текста: | 01.01.2021 |
| Дата актуализации описания: | 01.07.2023 |
| Дата издания: | 25.09.2020 |
| Дата введения: | 01.11.2017 |
| Нормативные ссылки: | ГОСТ Р 66.0.01-2015; ГОСТ Р 52551;ОК 029 (КДЕС Ред. 2) |
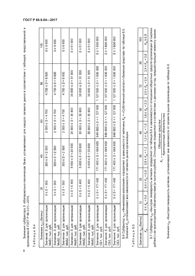
| Область применения: | Настоящий стандарт устанавливает специальные требования, модель и критерии оценки опыта и деловой репутации охранных организаций. Стандарт позволяет обеспечить единый и объективный подход при ранжировании и выборе охранных организаций при проведении тендеров, конкурсов, а также оценки их репутационного потенциала и финансовой успешности. Стандарт распространяется на охранные организации, относящиеся к классу 80 Общероссийского классификатора видов экономической деятельности. Настоящий стандарт может использоваться вышуеказанными лицами в целях самооценки, а также лицами, заказывающими охранные услуги, в целях выявления лучших условий оказания услуг и повышения их эффективности |
|
| Расположен в: |
|