| ||||||||||||||||||||||||||||||||||
Скачать ГОСТ 10155-2016 Проволока манганиновая неизолированная. Технические условияДата актуализации: 01.06.2025
| ||||||||||||||||||||||||||||||||||
| Обозначение: | ![]() ГОСТ 10155-2016 |
| Статус: | действующий |
| Название рус.: | Проволока манганиновая неизолированная. Технические условия |
| Название англ.: | Manganin uninsulated wire. Specifications |
| Дата актуализации текста: | 01.01.2021 |
| Дата актуализации описания: | 01.07.2023 |
| Дата регистрации: | 29.02.2016 |
| Дата издания: | 09.03.2017 |
| Дата введения: | 01.04.2017 |
| Код ОКП: | 184790 |
| Взамен: | ГОСТ 10155-75 |
| Нормативные ссылки: | ГОСТ 492-2006; ГОСТ 2991-85; ГОСТ 3282-74; ГОСТ 3560-73; ГОСТ 4381-87; ГОСТ 6507-90; ГОСТ 6689.1-92; ГОСТ 6689.2-92; ГОСТ 6689.3-92; ГОСТ 6689.4-92; ГОСТ 6689.5-92; ГОСТ 6689.6-92; ГОСТ 6689.7-92; ГОСТ 6689.8-92; ГОСТ 6689.9-92; ГОСТ 6689.10-92; ГОСТ 6689.11-92; ГОСТ 6689.12-92; ГОСТ 6689.13-92; ГОСТ 6689.14-92; ГОСТ 6689.15-92; ГОСТ 6689.16-92; ГОСТ 6689.17-92; ГОСТ 6689.18-92; ГОСТ 6689.19-92; ГОСТ 6689.20-92; ГОСТ 6689.21-92; ГОСТ 6689.22-92; ГОСТ 7229-76; ГОСТ 8273-75; ГОСТ 8828-89; ГОСТ 9078-84; ГОСТ 9347-74; ГОСТ 9421-80; ГОСТ 9557-87; ГОСТ 9569-2006; ГОСТ 9570-84; ГОСТ 10446-80; ГОСТ 14192-96; ГОСТ 15846-2002; ГОСТ 17308-71; ГОСТ 18242-72; ГОСТ 18321-73; ГОСТ 20435-75; ГОСТ 21140-88; ГОСТ 22225-76; ГОСТ 24047-80; ГОСТ 24231-80; ГОСТ 24597-81; ГОСТ 26663-85; ГОСТ 28798-90; ГОСТ 32597-2013; ГОСТ Р ИСО 2859-1-2007;СТ СЭВ 543-77 |
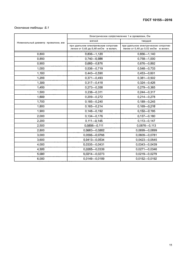
| Область применения: | Настоящий стандарт распространяется на манганиновую неизолированную проволоку круглого сечения (далее - проволока), применяемую в приборостроении и электротехнике. Настоящий стандарт устанавливает сортамент, технические требования, правила приемки, методы контроля и испытаний, упаковку, маркировку, правила транспортирования и хранения проволоки |
| Расположен в: | |

















