| ||||||||||||||||||||||||||||||||||||
Скачать ГОСТ 11383-2016 Трубки медные и латунные тонкостенные. Технические условияДата актуализации: 01.06.2025
| ||||||||||||||||||||||||||||||||||||
| Обозначение: | ![]() ГОСТ 11383-2016 |
| Статус: | действующий |
| Название рус.: | Трубки медные и латунные тонкостенные. Технические условия |
| Дата актуализации текста: | 01.01.2021 |
| Дата актуализации описания: | 01.07.2023 |
| Дата регистрации: | 29.02.2016 |
| Дата издания: | 08.08.2016 |
| Дата введения: | 01.04.2017 |
| Взамен: | ГОСТ 11383-75 |
| Нормативные ссылки: | ГОСТ 859-2014; ГОСТ 1652.1-77; ГОСТ 1652.2-77; ГОСТ 1652.3-77; ГОСТ 1652.4-77; ГОСТ 1652.5-77; ГОСТ 1652.6-77; ГОСТ 1652.7–77; ГОСТ 1652.8-77; ГОСТ 1652.9-77; ГОСТ 1652.10-77; ГОСТ 1652.11-77; ГОСТ 1652.12-77; ГОСТ 1652.13-77; ГОСТ 2228-81; ГОСТ 2991-85; ГОСТ 3282-74; ГОСТ 3560-73; ГОСТ 6507-90; ГОСТ 8273-75; ГОСТ 8695-75; ГОСТ 8828-89; ГОСТ 9557- 87; ГОСТ 9569-2006; ГОСТ 9716.1-79; ГОСТ 9716.3-79; ГОСТ 9717.2-82; ГОСТ 9717.3-82; ГОСТ 10006-80; ГОСТ 13938.11-2014; ГОСТ 13938.13-93; ГОСТ 14192-96; ГОСТ 15102-75; ГОСТ 15527-2004; ГОСТ 15846-2002; ГОСТ 18242-72; ГОСТ 18321-73; ГОСТ 18477-79; ГОСТ 21140-88; ГОСТ 24231-80; ГОСТ 24597-81; ГОСТ 25086-2011; ГОСТ 26653-90; ГОСТ 26663-85; ГОСТ 31382-2009; ГОСТ 32597-2013 |
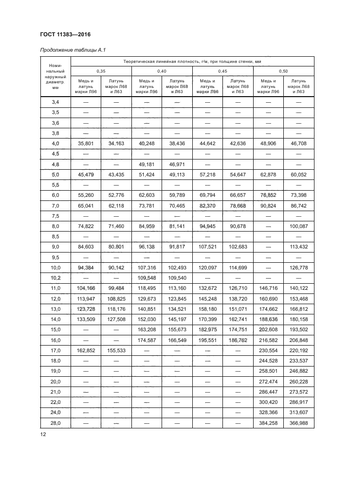
| Область применения: | Настоящий стандарт распространяется на круглые холоднодеформированные тянутые тонкостенные трубки из меди и латуни (далее - трубки), применяемые в различных отраслях промышленности. Стандарт устанавливает сортамент, технические требования, правила приемки, методы контроля и испытаний, правила маркировки, упаковки, транспортирования и хранения трубок |
| Приложение №1: | Поправка к ГОСТ 11383-2016 |
| Расположен в: | |




















| Обозначение: | Поправка к ГОСТ 11383-2016 |
| Дата введения: | 13.03.2020 |
