| Обозначение: |  ГОСТ Р ИСО 13679-2016 |
| Статус: | отменён |
| Название рус.: | Трубы стальные обсадные и насосно-компрессорные для нефтяной и газовой промышленности. Методы испытаний резьбовых соединений |
| Дата актуализации текста: | 07.08.2016 |
| Дата актуализации описания: | 01.12.2024 |
| Дата издания: | 15.04.2016 |
| Дата введения: | 01.10.2016 |
| Дата окончания срока действия: | 01.06.2024 |
| Аутентичен стандартам: | ISO 13679:2002 |
| На территории РФ пользоваться: | ГОСТ ISO 13679-2023 |
| Нормативные ссылки: | ISO 3183-1;ISO 3183-2;ISO 3183-3;ISO 10400:1993;ISO 10422;ISO 11960;ISO 13680;API Bull 5C3;API Spec 5B;API Spec 5L |
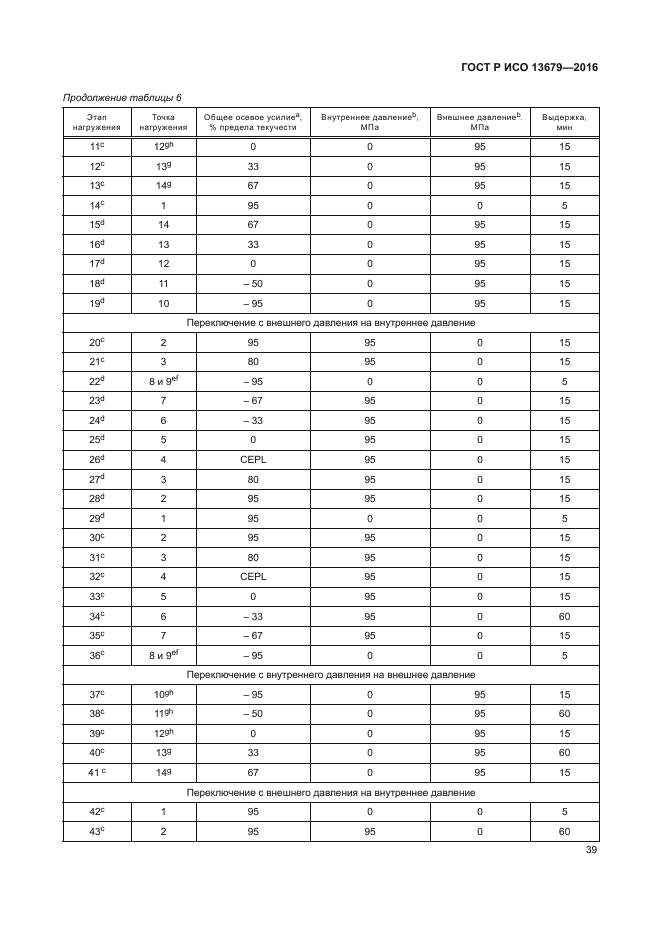
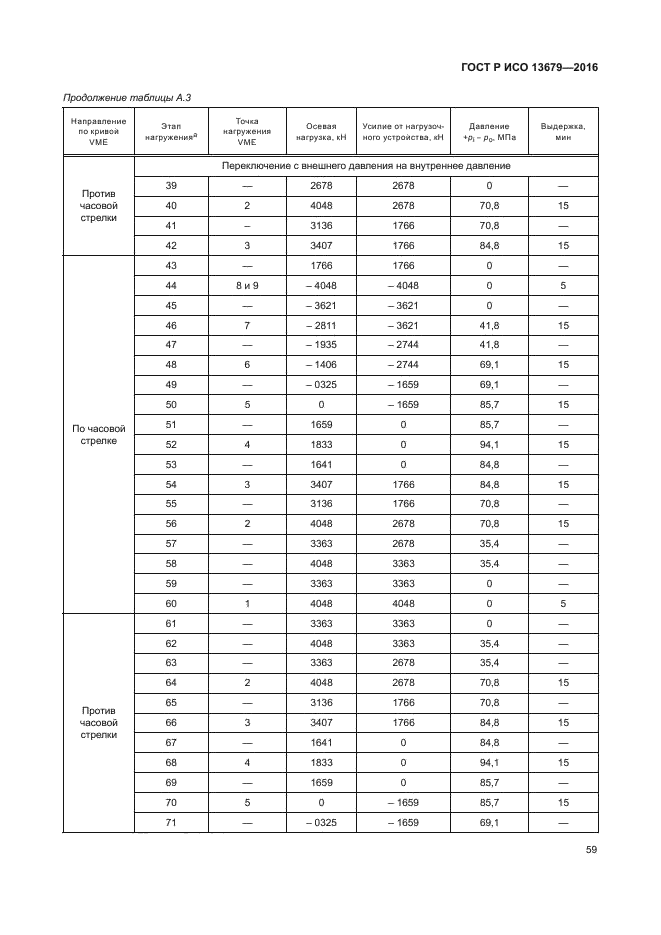
| Область применения: | Настоящий стандарт устанавливает минимальный перечень методов проектных испытаний и приемочные критерии испытаний для соединений обсадных и насосно-компрессорных труб, используемых в нефтяной и газовой промышленности. Испытания физических свойств соединений являются частью процесса проектной проверки и предоставляют объективные доказательства соответствия соединения тем испытательным и предельным нагрузкам, которые указаны изготовителем |
|
| Расположен в: |
|