| Обозначение: |  ГОСТ Р ИСО 14065-2014 |
| Статус: | заменён |
| Название рус.: | Газы парниковые. Требования к органам по валидации и верификации парниковых газов для их применения при аккредитации или других формах признания |
| Название англ.: | Greenhouse gases. Requirements for greenhouse gas validation and verification bodies for use in accreditation or other forms of recognition |
| Дата актуализации текста: | 06.04.2015 |
| Дата актуализации описания: | 01.01.2023 |
| Дата издания: | 29.11.2019 |
| Дата введения: | 01.01.2016 |
| Дата окончания срока действия: | 01.01.2023 |
| Взамен: | ГОСТ Р ИСО 14065-2010 |
| Заменяющий: | ГОСТ Р ИСО 14065-2022 |
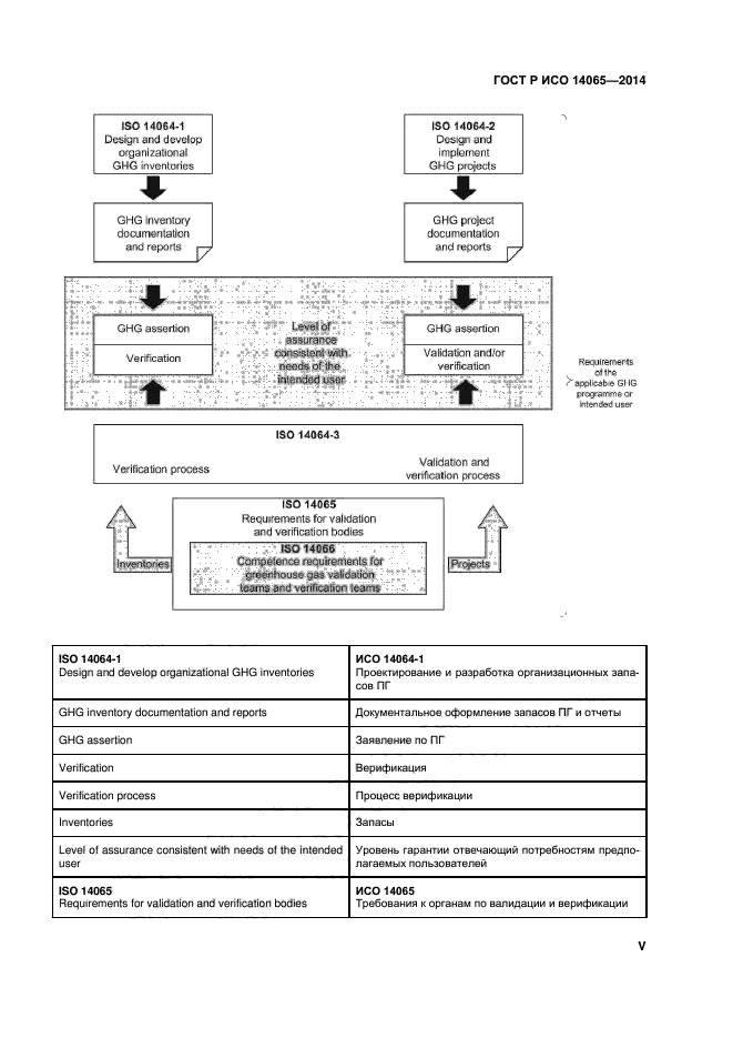
| Аутентичен стандартам: | ISO 14065:2013 |
| Нормативные ссылки: | ISO 14064-3:2006 |
| Область применения: | Настоящий стандарт устанавливает принципы и требования для органов, проводящих валидацию или верификацию заявлений по парниковым газам. Настоящий стандарт распространяется на нейтральную программу по парниковым газам. Если программа по парниковым газам является конкретно применяемой, то требования, установленные этой программой по парниковым газам , являются дополнительными по отношению к требованиям настоящего стандарта |
|
| Расположен в: |
|