Информационная система
«Ёшкин Кот»

Скачать базу одним архивом
Скачать обновления
История создания базы
Карта сайта

Скачать ГОСТ Р 56213.31-2014 Системы промышленной автоматизации и интеграция. Обмен данными характеристик. Часть 31. Запрос на данные характеристик

Дата актуализации: 01.06.2025

ГОСТ Р 56213.31-2014

Системы промышленной автоматизации и интеграция. Обмен данными характеристик. Часть 31. Запрос на данные характеристик

Обозначение: ГОСТ Р 56213.31-2014
Статус:действующий
Название рус.:Системы промышленной автоматизации и интеграция. Обмен данными характеристик. Часть 31. Запрос на данные характеристик
Дата актуализации текста:01.01.2021
Дата актуализации описания:01.07.2023
Дата издания:06.04.2020
Дата введения:01.07.2015
Аутентичен стандартам:ISO/TS 29002-31:2009
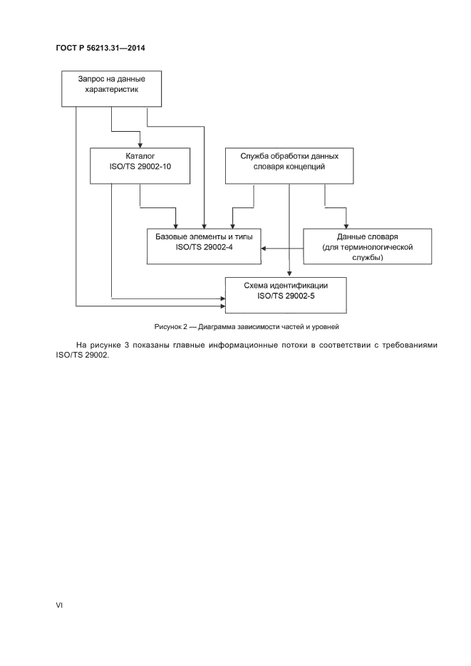
Нормативные ссылки:ISO/TS 29002-4;ISO/TS 29002-5;ISO/TS 29002-10
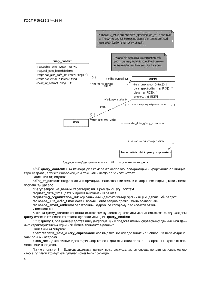
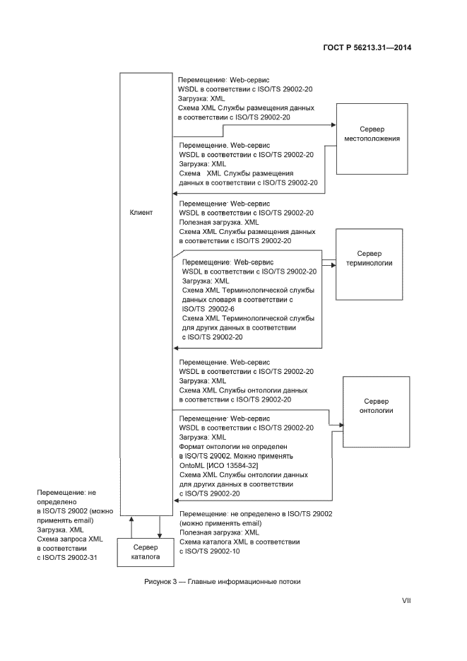
Область применения:Настоящий стандарт определяет концептуальную информационную модель и формат файла обмена информацией для запроса данных характеристик на продукцию и услуги, а также на данные по идентификации поставщиков продукции в системе UML. Физический формат файла основывается на XML Настоящий стандарт распространяется на: - запрос на данные характеристик изделий и элементов, имеющих идентификацию, назначенную поставщиком; - запрос на идентификацию, назначенную поставщиком таким изделиям и элементам, которые имеют целый набор данных характеристик; - запрос на данные характеристик и на идентификацию, назначенную поставщиком таким изделиям, которые соответствуют условиям поиска информации; - запрос на недостающие данные характеристик
Расположен в:Государственные стандарты Общероссийский классификатор стандартов Машиностроение Промышленные автоматизированные системы Измерение и контроль производственного процесса Классификатор государственных стандартов Измерительные приборы. Средства автоматизации и вычислительной техники Средства вычислительной техники и автоматизированные системы управления Автоматизированные системы управления
ГОСТ Р 56213.31-2014ГОСТ Р 56213.31-2014ГОСТ Р 56213.31-2014ГОСТ Р 56213.31-2014ГОСТ Р 56213.31-2014ГОСТ Р 56213.31-2014ГОСТ Р 56213.31-2014ГОСТ Р 56213.31-2014ГОСТ Р 56213.31-2014ГОСТ Р 56213.31-2014ГОСТ Р 56213.31-2014ГОСТ Р 56213.31-2014ГОСТ Р 56213.31-2014ГОСТ Р 56213.31-2014ГОСТ Р 56213.31-2014ГОСТ Р 56213.31-2014ГОСТ Р 56213.31-2014ГОСТ Р 56213.31-2014ГОСТ Р 56213.31-2014ГОСТ Р 56213.31-2014ГОСТ Р 56213.31-2014ГОСТ Р 56213.31-2014ГОСТ Р 56213.31-2014ГОСТ Р 56213.31-2014ГОСТ Р 56213.31-2014ГОСТ Р 56213.31-2014ГОСТ Р 56213.31-2014ГОСТ Р 56213.31-2014

© 2013 Ёшкин Кот :-) Карта сайта