| ||||||||||||||||||||||||||||||||
Скачать ГОСТ Р 55925-2013 Плиты древесноволокнистые твердые с лакокрасочным покрытием. Технические условияДата актуализации: 01.06.2025
| ||||||||||||||||||||||||||||||||
| Обозначение: | ![]() ГОСТ Р 55925-2013 |
| Статус: | отменён |
| Название рус.: | Плиты древесноволокнистые твердые с лакокрасочным покрытием. Технические условия |
| Дата актуализации текста: | 06.04.2015 |
| Дата актуализации описания: | 01.07.2023 |
| Дата введения: | 01.07.2015 |
| Дата окончания срока действия: | 01.07.2015 |
| Код ОКП: | 553631 |
| На территории РФ пользоваться: | ГОСТ 8904-2014 |
| Нормативные ссылки: | ГОСТ 12.1.004-91; ГОСТ 12.1.005-88; ГОСТ 12.1.014-84; ГОСТ 12.3.042-88; ГОСТ 12.4.009-83; ГОСТ 12.4.011-89; ГОСТ 166-89; ГОСТ 790-89; ГОСТ 1012-72; ГОСТ 2084-77; ГОСТ 3560-73; ГОСТ 4598-86; ГОСТ 5679-91; ГОСТ 6709-72; ГОСТ 7016-82; ГОСТ 7502-98; ГОСТ 7661-67; ГОСТ 8273-75; ГОСТ 9825-73; ГОСТ 12026-76; ГОСТ 14192-96; ГОСТ 15140-78; ГОСТ 15612-85; ГОСТ 19592-80; ГОСТ 21791-76; ГОСТ 24404-80; ГОСТ 27678-88; ГОСТ 30255-95; ГОСТ 32155-2013;EN 14322:2004;EN 13986:2004 |
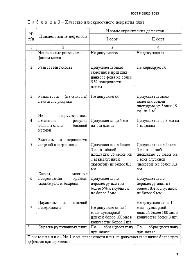
| Область применения: | Настоящий стандарт распространяется на твердые древесноволокнистые плиты с нанесенным на их лицевые поверхности лакокрасочным покрытием (в дальнейшем - плиты). Плиты применяются в качестве отделочного материала при строительстве жилых, общественных и производственных зданий, изготовлении транспортных средств, торгового оборудования, мебели, дверных полотен и других изделий |
| Список изменений: | №0 от 30.06.2015 (рег. 07.07.2014) «Текстовое изменение; Изменено заглавие» |
| Расположен в: | |























