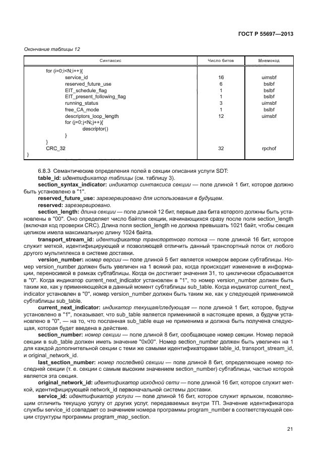
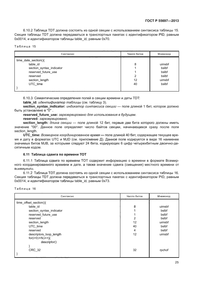
| ||||||||||||||||||||||||||
Скачать ГОСТ Р 55697-2013 Телевидение вещательное цифровое. Сервисная информация. Общие технические требованияДата актуализации: 01.06.2025
| ||||||||||||||||||||||||||
| Обозначение: | ![]() ГОСТ Р 55697-2013 |
| Статус: | действующий |
| Название рус.: | Телевидение вещательное цифровое. Сервисная информация. Общие технические требования |
| Дата актуализации текста: | 01.01.2021 |
| Дата актуализации описания: | 01.07.2023 |
| Дата издания: | 03.04.2020 |
| Дата введения: | 01.09.2014 |
| Нормативные ссылки: | ГОСТ Р 52210-2004; ГОСТ Р 52591-2006; ГОСТ 17657-79; ГОСТ 24375-80; ГОСТ 24402-88; ГОСТ Р 52722; ГОСТ Р 53528 |
| Область применения: | Настоящий стандарт распространяется на данные сервисной информации, входящие в состав транспортных потоков систем DVB первого и второго поколения, он устанавливает: - методы передачи сервисной информации; - структуры, используемые для передачи сервисной информации;синтаксис структур передачи сервисной информации |
| Расположен в: | |











































