| Обозначение: |  ГОСТ Р 55703-2013 |
| Статус: | отменён |
| Название рус.: | Источники света электрические. Методы измерений спектральных и цветовых характеристик |
| Дата актуализации текста: | 01.01.2021 |
| Дата актуализации описания: | 01.07.2023 |
| Дата издания: | 27.10.2015 |
| Дата введения: | 01.07.2014 |
| Дата окончания срока действия: | 01.03.2022 |
| Код ОКП: | 346000 |
| На территории РФ пользоваться: | ГОСТ 23198-2021 |
| Нормативные ссылки: | ГОСТ Р 54814-2011; ГОСТ Р 55704-2013; ГОСТ Р 55702-2013; ГОСТ 8.207-76; ГОСТ 8.332-78; ГОСТ 9411-91; ГОСТ 10771-82; ГОСТ 18300-87; ГОСТ 22261-94 |
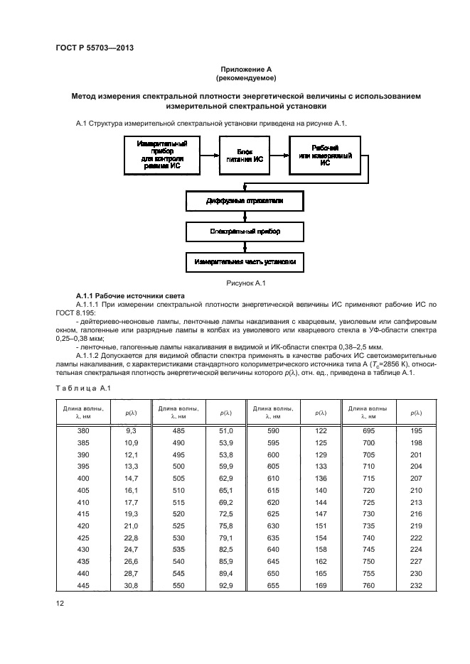
| Область применения: | Настоящий стандарт распространяется на электрические источники света: лампы накаливания, разрядные и светодиодные, светодиодные модули и светодиоды, имеющие сплошной, линейчатый или смешанный спектры излучения и устанавливает методы измерений спектральных и цветовых характеристик. Настоящий стандарт не распространяется на ИС, применяемые в качестве рабочих средств измерения. Стандарт не распространяется на светоизмерительные лампы и лампы-фары |
|
| Расположен в: |
|