| Обозначение: |  ГОСТ Р 55062-2012 |
| Статус: | заменён |
| Название рус.: | Информационные технологии. Системы промышленной автоматизации и их интеграция. Интероперабельность. Основные положения |
| Дата актуализации текста: | 01.01.2021 |
| Дата актуализации описания: | 01.07.2023 |
| Дата издания: | 29.11.2018 |
| Дата введения: | 01.09.2013 |
| Дата окончания срока действия: | 30.04.2022 |
| Заменяющий: | ГОСТ Р 55062-2021 |
| Нормативные ссылки: | ГОСТ Р ИСО/МЭК 7498-1-99;Р 50.1.022-2000;Р 50.1.041-2002 |
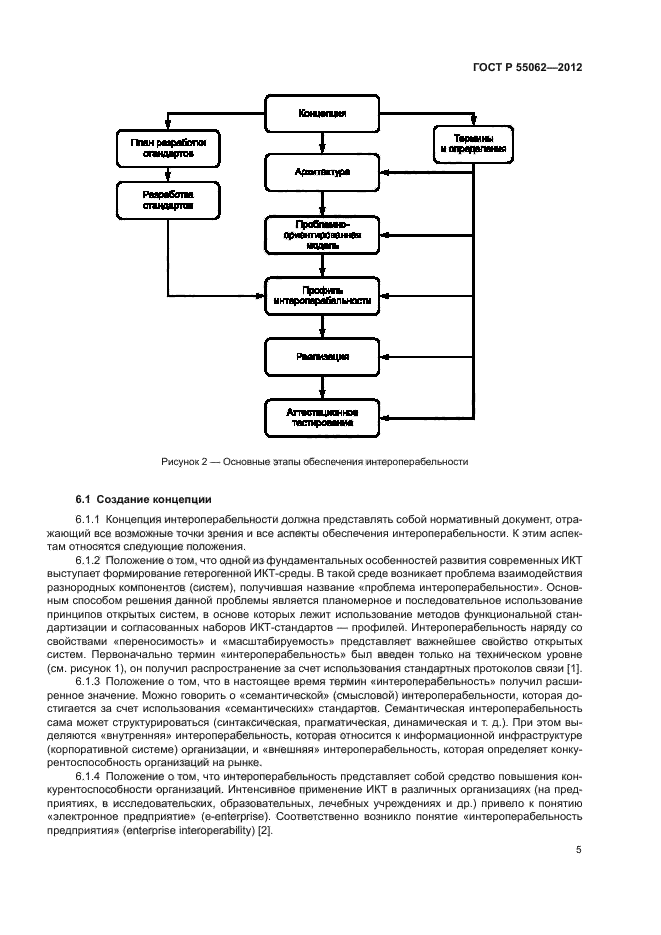
| Область применения: | Настоящий стандарт определяет: - основные понятия, связанные с понятием «интероперабельность»; - подход к достижению интероперабельности и имеющиеся барьеры; - единый подход к обеспечению интероперабельности информационных систем широкого класса; - основные этапы по достижению интероперабельности. Настоящий стандарт предназначен для заказчиков, поставщиков, разработчиков, потребителей, а также персонала, сопровождающего информационные системы и осуществляющего программное обеспечение и услуги |
|
| Расположен в: |
|