| ||||||||||||||||||||||||||
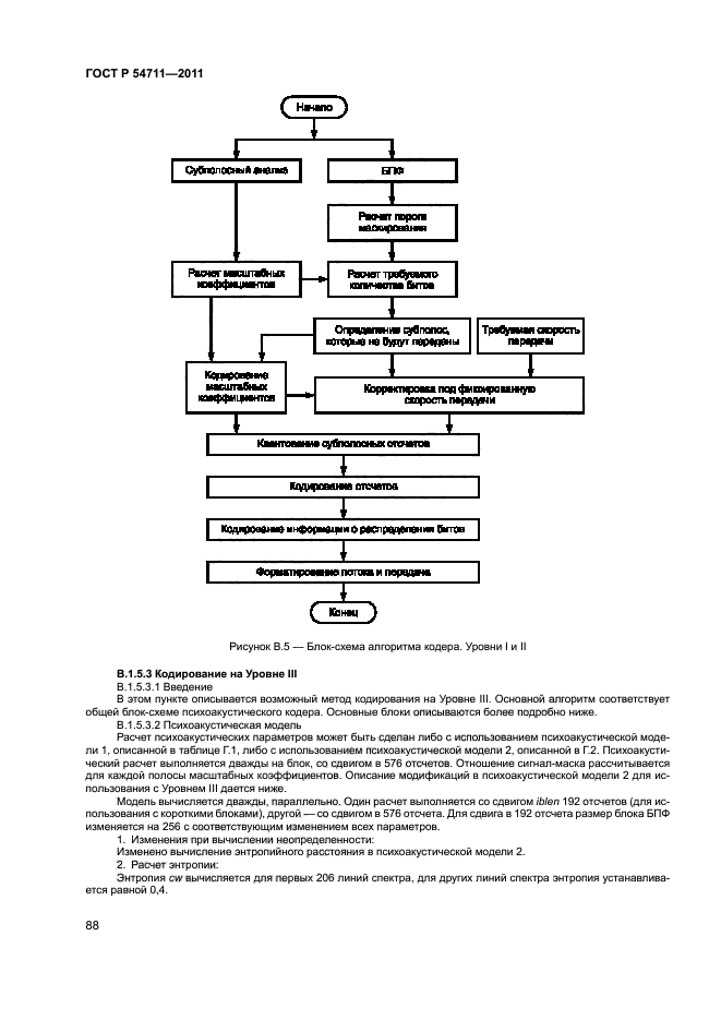
Скачать ГОСТ Р 54711-2011 Звуковое вещание цифровое. Кодирование сигналов звукового вещания с сокращением избыточности для передачи по цифровым каналам связи. MPEG-1 часть III (MPEG-1 audio)Дата актуализации: 01.06.2025
| ||||||||||||||||||||||||||
| Обозначение: | ![]() ГОСТ Р 54711-2011 |
| Статус: | действующий |
| Название рус.: | Звуковое вещание цифровое. Кодирование сигналов звукового вещания с сокращением избыточности для передачи по цифровым каналам связи. MPEG-1 часть III (MPEG-1 audio) |
| Дата актуализации текста: | 01.01.2021 |
| Дата актуализации описания: | 01.07.2023 |
| Дата издания: | 20.02.2014 |
| Дата введения: | 01.07.2013 |
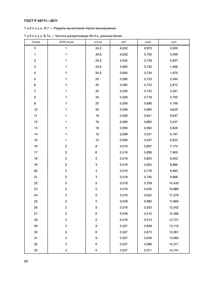
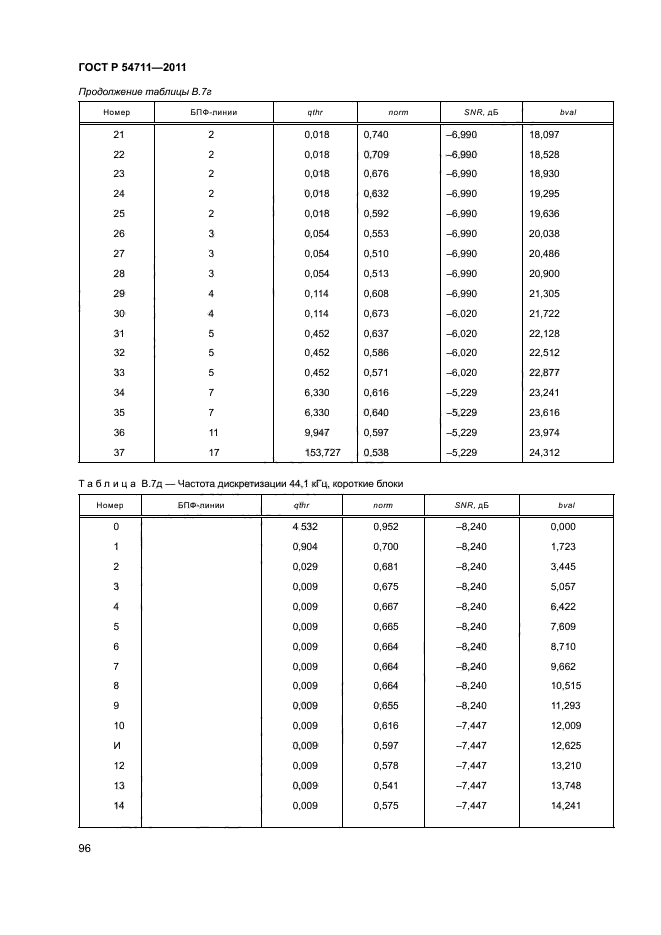
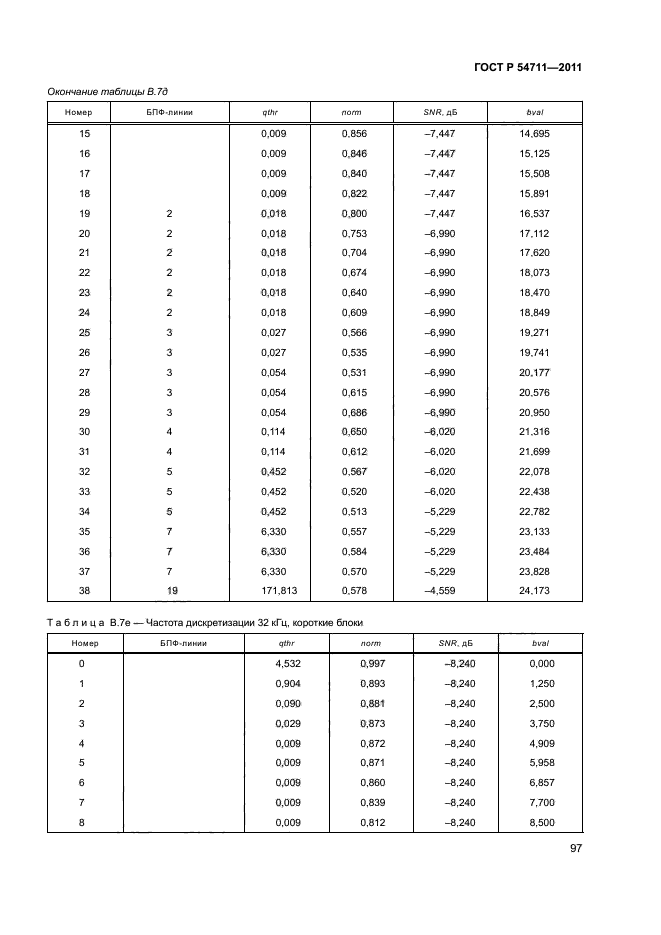
| Нормативные ссылки: | ISO/IEC 11172-3:1993; ГОСТ 28376-89; ГОСТ Р 50412-94; ГОСТ Р 52742-2007; ГОСТ Р 53537-2009 |
| Область применения: | Настоящий стандарт определяет кодированное представление высококачественного звукового сигнала на цифровых носителях и метод его восстановления и относится к сигналам с частотами дискретизации 32 кГц, 44,1 кГц, и 48 кГц. Вход кодера и выход декодера совместимы с существующими стандартами ИКМ, такими как ГОСТ 28376–89, ГОСТ Р 50712–94. Стандарт предназначен для регулирования отношений между оператором и пользователем в процессе установления соединения, в части выполнения технических требований к электрическим параметрам, определяющим качество каналов и трактов звукового вещания с полосой передаваемых частот до 20 000 Гц |
| Расположен в: | |












































































































































































