| ||||||||||||||||||||||||||||
Скачать ГОСТ Р 54763-2011 Средства лекарственные для ветеринарии. Технологические регламенты производства. Содержание, порядок разработки, согласования и утвержденияДата актуализации: 01.06.2025
| ||||||||||||||||||||||||||||
| Обозначение: | ![]() ГОСТ Р 54763-2011 |
| Статус: | действующий |
| Название рус.: | Средства лекарственные для ветеринарии. Технологические регламенты производства. Содержание, порядок разработки, согласования и утверждения |
| Название англ.: | Medicinal remedies for veterinary. Manufacture production regulations. The maintenance, order of working out, the coordination and confirmation |
| Дата актуализации текста: | 06.04.2015 |
| Дата актуализации описания: | 01.07.2023 |
| Дата издания: | 22.04.2013 |
| Дата введения: | 01.01.2013 |
| Нормативные ссылки: | ГОСТ Р ИСО 9001-2008; ГОСТ Р ИСО 14001-2007; ГОСТ Р ИСО 14041-2000; ГОСТ Р ИСО 14644-1-2000; ГОСТ Р ИСО 14644-2-2001; ГОСТ Р ИСО 14644-3-2007; ГОСТ Р ИСО 14644-4-2002; ГОСТ Р ИСО 14644-5-2005; ГОСТ Р 7.0.5-2008; ГОСТ Р 12.1.019-2009; ГОСТ Р 50779.10-2000; ГОСТ Р 50779.11-2000; ГОСТ Р 50779.42-99; ГОСТ Р 51141-98; ГОСТ Р 51705.1-2001; ГОСТ Р 51897-2002; ГОСТ Р 51898-2002; ГОСТ Р 51901.1-2002; ГОСТ Р 52249-2009; ГОСТ Р 52537-2006; ГОСТ Р 52550-2006; ГОСТ Р 52682-2006; ГОСТ Р 52683-2006; ГОСТ Р 52684-2006; ГОСТ Р 12.3.047-98; ГОСТ 2.105-95; ГОСТ 2.106-96; ГОСТ 2.301-68; ГОСТ 3.1109-82; ГОСТ 3.1120-83; ГОСТ 8.417-2002; ГОСТ 12.0.002-80; ГОСТ 12.1.004-91; ГОСТ 12.1.005-88; ГОСТ 12.1.007-76; ГОСТ 12.1.008-76; ГОСТ 12.1.044-89; ГОСТ 12.2.003-91; ГОСТ 12.3.002-75; ГОСТ 12.4.011-89; ГОСТ 12.4.021-75; ГОСТ 15.601-98; ГОСТ 17.2.3.02-78; ГОСТ 28.001-83; ГОСТ 16299-78; ГОСТ 17527-2003; ГОСТ 18322-78; ГОСТ 20831-75; ГОСТ 30772-2001 |
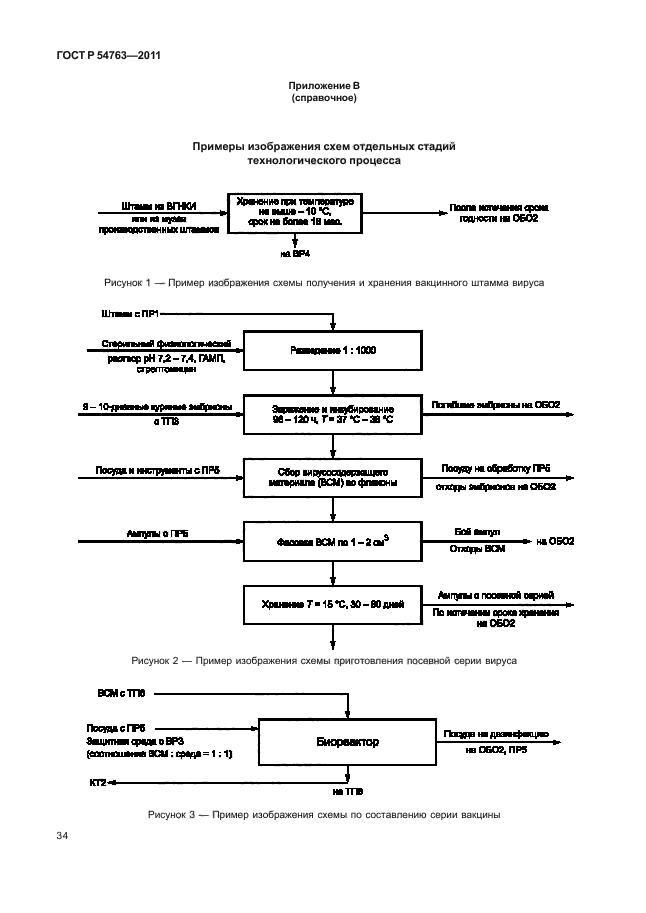
| Область применения: | Настоящий стандарт распространяется на фармакологические, биологические и гомеопатические лекарственные средства для ветеринарии и устанавливает общие требования к содержанию, порядку разработки, согласованию и утверждению технологических регламентов производства |
| Расположен в: | |













































