| ||||||||||||||||||||||||||||||||||
Скачать ГОСТ Р 54543-2011 Тетради ученические. Общие технические условияДата актуализации: 01.06.2025
| ||||||||||||||||||||||||||||||||||
| Обозначение: | ![]() ГОСТ Р 54543-2011 |
| Статус: | заменён |
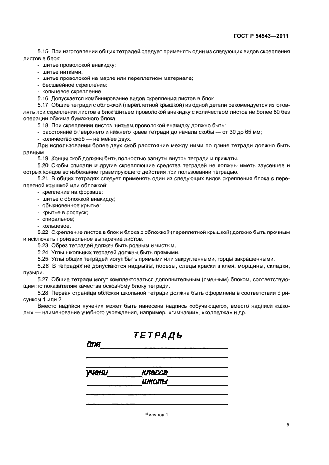
| Название рус.: | Тетради ученические. Общие технические условия |
| Название англ.: | Exercise-books. General specifications |
| Дата актуализации текста: | 06.04.2015 |
| Дата актуализации описания: | 01.06.2025 |
| Дата издания: | 17.07.2013 |
| Дата введения: | 01.01.2013 |
| Дата окончания срока действия: | 01.03.2025 |
| Код ОКП: | 546100;546311 |
| Заменяющий: | ГОСТ Р 54543-2024 |
| Нормативные ссылки: | ГОСТ Р 53228-2008; ГОСТ Р 53636-2009; ГОСТ Р 54542-2011; ГОСТ Р 54915-2012; ГОСТ 15.009-91; ГОСТ 427-75; ГОСТ 3282-74; ГОСТ 6658-75; ГОСТ 6742-79; ГОСТ 6861-73; ГОСТ 7480-73; ГОСТ 7933-89; ГОСТ 7950-77; ГОСТ 8273-75; ГОСТ 9996-84; ГОСТ 9998-86; ГОСТ 12051-76; ГОСТ 13309-90; ГОСТ 13523-78; ГОСТ 15846-2002; ГОСТ 18510-87; ГОСТ 20283-89; ГОСТ 21102-80; ГОСТ 21444-75; ГОСТ 24597-81; ГОСТ 25706-83; ГОСТ 25951-83; ГОСТ 26663-85 |
| Область применения: | Настоящий стандарт распространяется на школьные ученические и общие ученические тетради, предназначенные для письма школьниками в период обучения с 1 по 11 классы в общеобразовательных учебных учреждениях и учреждениях начального профессионального образования. Стандарт не распространяется на тетради для специальных дисциплин, тетради-практикумы, разные тетради (например, тетради для записи слов, тетради-блокноты, рабочие тетради и др.), а также на тетради, изготовляемые по индивидуальным заказам, не поступающие в розничную торговлю |
| Расположен в: | |



















