| ||||||||||||||||||||||||||||||||||||||
Скачать ГОСТ Р 50031-2012 Автоматические выключатели для электрооборудования (АВО)Дата актуализации: 01.06.2025
| ||||||||||||||||||||||||||||||||||||||
| Обозначение: | ![]() ГОСТ Р 50031-2012 |
| Статус: | отменён |
| Название рус.: | Автоматические выключатели для электрооборудования (АВО) |
| Название англ.: | Circuit-breakers for equipment (CBE) |
| Дата актуализации текста: | 06.04.2015 |
| Дата актуализации описания: | 01.07.2023 |
| Дата издания: | 30.04.2013 |
| Дата введения: | 01.01.2013 |
| Дата окончания срока действия: | 01.03.2017 |
| Взамен: | ГОСТ Р 50031-99 |
| Содержит требования: | IEC 60934(2007) |
| На территории РФ пользоваться: | ГОСТ IEC 60934-2015 |
| Нормативные ссылки: | ГОСТ Р 15.201-2000; ГОСТ Р 50030.1-2007; ГОСТ Р 50339.0-2003; ГОСТ Р 50339.1-92; ГОСТ Р 50339.2-92; ГОСТ Р 50339.3-92; ГОСТ Р 50345-2010; ГОСТ Р 51317.4.2-99; ГОСТ Р 51317.4.3-99; ГОСТ Р 51317.4.4-2007; ГОСТ Р 51317.4.5-99; ГОСТ Р 51318.22-2006; ГОСТ Р 51329-99; ГОСТ Р МЭК 60227-1-99; ГОСТ Р МЭК 60227-2-99; ГОСТ Р МЭК 60227-3-2002; ГОСТ Р МЭК 60227-4-2002; ГОСТ Р МЭК 60227-5-2009; ГОСТ Р МЭК 60227-6-2010; ГОСТ Р МЭК 60447-2000; ГОСТ Р МЭК 60950-2002; ГОСТ 12.2.007.0-75; ГОСТ 12.2.007.6-75; ГОСТ 14254-96; ГОСТ 15150-69; ГОСТ 15543.1-89; ГОСТ 16504-81; ГОСТ 18620-86; ГОСТ 23216-78; ГОСТ 24753-81; ГОСТ 27483-87; ГОСТ 29322-92 |
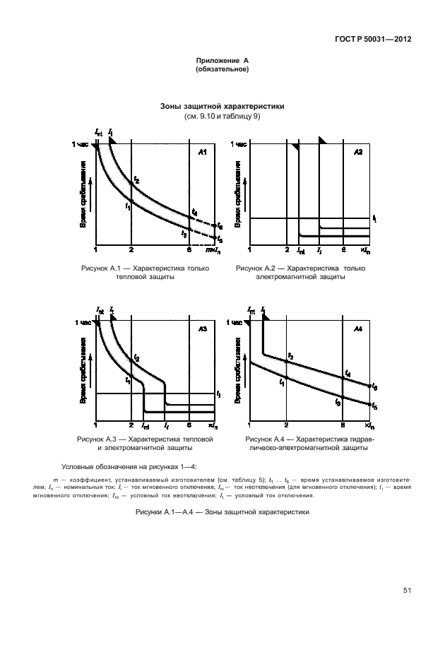
| Область применения: | Настоящий стандарт распространяется на механические коммутационные аппараты, именуемые «автоматические выключатели для электрооборудования» (АВО), предназначенные для защиты цепей в электрическом оборудовании |
| Список изменений: | №0 от 01.03.2017 (рег. 27.06.2016) «Текстовое изменение; Изменено заглавие» |
| Расположен в: | |

























































































