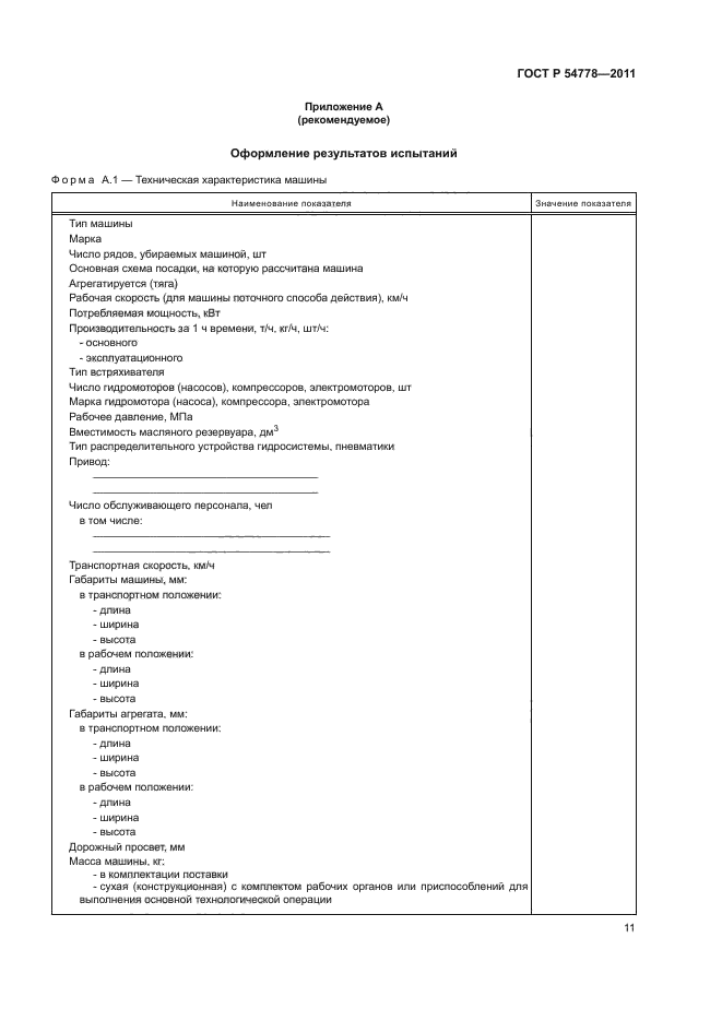
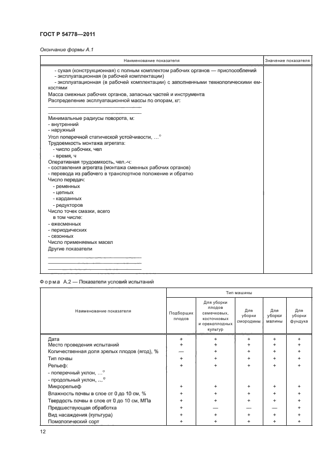
| ||||||||||||||||||||||||||||||||
Скачать ГОСТ Р 54778-2011 Машины для уборки плодов и ягод. Методы испытанийДата актуализации: 01.06.2025
| ||||||||||||||||||||||||||||||||
| Обозначение: | ![]() ГОСТ Р 54778-2011 |
| Статус: | отменён |
| Название рус.: | Машины для уборки плодов и ягод. Методы испытаний |
| Название англ.: | Machines for harvesting fruit and berries. Test methods |
| Дата актуализации текста: | 01.01.2021 |
| Дата актуализации описания: | 01.01.2024 |
| Дата издания: | 14.07.2020 |
| Дата введения: | 01.03.2012 |
| Дата окончания срока действия: | 01.01.2024 |
| На территории РФ пользоваться: | ГОСТ 34953-2023 |
| Нормативные ссылки: | ГОСТ 12.1.003; ГОСТ 12.1.012; ГОСТ 12.2.002; ГОСТ 12.2.019; ГОСТ 12.2.120; ГОСТ 166; ГОСТ 427; ГОСТ 7502; ГОСТ 16504; ГОСТ 20915; ГОСТ 21623; ГОСТ 23932; ГОСТ 26026; ГОСТ 26336; ГОСТ 31191.1; ГОСТ 31192.2; ГОСТ 31319; ГОСТ ИСО 14269-2; ГОСТ ИСО 14269-5; ГОСТ Р 50779.10; ГОСТ Р 52489; ГОСТ Р 52777; ГОСТ Р 52778; ГОСТ Р 53056; ГОСТ Р 53228; ГОСТ Р 53489; ГОСТ Р 54783; ГОСТ Р 54784 |
| Область применения: | Настоящий стандарт распространяется на машины, оборудование, установки и приспособления для уборки плодов семечковых, косточковых, орехоплодных и ягодных культур и устанавливает методы их испытаний |
| Расположен в: | |


































