| ||||||||||||||||||||||||||||||||||||
Скачать ГОСТ Р 54463-2011 Тара из картона и комбинированных материалов для пищевой продукции. Технические условияДата актуализации: 01.06.2025
| ||||||||||||||||||||||||||||||||||||
| Обозначение: | ![]() ГОСТ Р 54463-2011 |
| Статус: | отменён |
| Название рус.: | Тара из картона и комбинированных материалов для пищевой продукции. Технические условия |
| Название англ.: | Pасkаgе from рареrboard and composite materials for food-stuffs. Speсifiсаtiоns |
| Дата актуализации текста: | 06.04.2015 |
| Дата актуализации описания: | 01.07.2023 |
| Дата издания: | 02.12.2011 |
| Дата введения: | 01.03.2012 |
| Дата окончания срока действия: | 01.11.2017 |
| Код ОКП: | 547100 |
| На территории РФ пользоваться: | ГОСТ 34033-2016 |
| Нормативные ссылки: | ГОСТ Р 52901-2007; ГОСТ Р 53876-2010; ГОСТ 427-75; ГОСТ 3282-74; ГОСТ 7502-98; ГОСТ 7933-89; ГОСТ 9078-84; ГОСТ 9142-90; ГОСТ 9421-80; ГОСТ 10234-77; ГОСТ 10354-82; ГОСТ 14192-96; ГОСТ 15846-2002; ГОСТ 18106-72; ГОСТ 18211-72; ГОСТ 18425-73; ГОСТ 18992-80; ГОСТ 19434-74; ГОСТ 21140-88; ГОСТ 21798-76; ГОСТ 25014-81; ГОСТ 25064-81; ГОСТ 25776-83; ГОСТ 25951-83; ГОСТ 26663-85 |
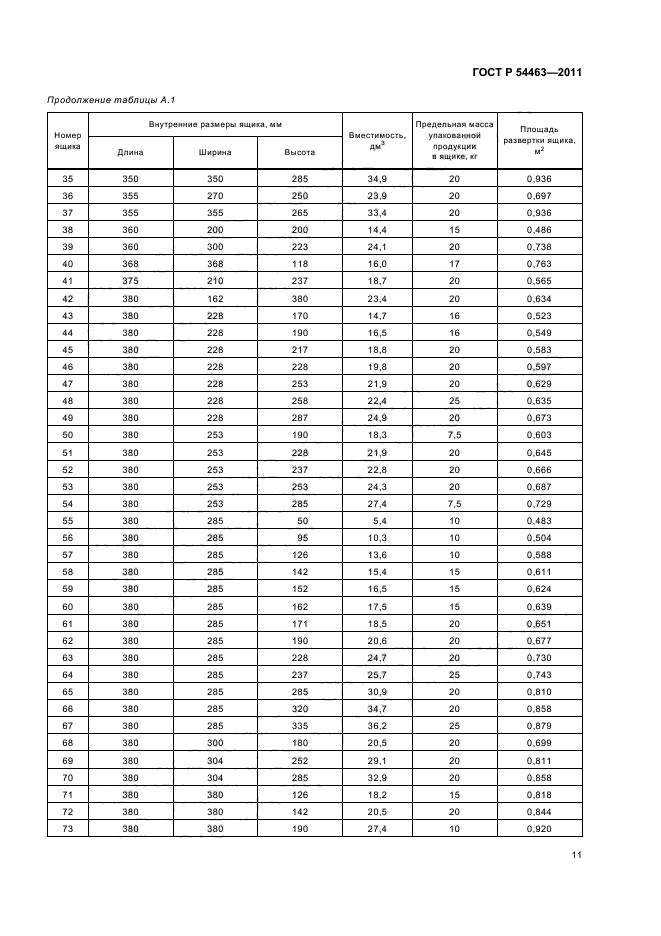
| Область применения: | Настоящий стандарт распространяется на тару из картона и комбинированных материалов - ящики с четырехклапанными дном и крышкой, складные лотковые и оберточные ящики, предназначенные для упаковывания, транспортирования и хранения пищевой продукции. Ящики могут применяться для упаковывания другой продукции массой, не превышающей предельную, если они обеспечивают сохранность и качество продукции. Ящики, предназначенные для упаковывания, транспортирования и хранения пищевой продукции, отправляемой в районы Крайнего Севера и приравненные к ним местности, должны соответствовать ГОСТ 15846 |
| Список изменений: | №0 от 01.11.2017 (рег. 31.05.2017) «Текстовое изменение; Изменено заглавие» |
| Расположен в: | |



















