| ||||||||||||||||||||||||||||||||||
Скачать ГОСТ Р 54085-2010 Продукты пищевые. Метод выявления бактерий рода ShigellaДата актуализации: 01.06.2025
| ||||||||||||||||||||||||||||||||||
| Обозначение: | ![]() ГОСТ Р 54085-2010 |
| Статус: | отменён |
| Название рус.: | Продукты пищевые. Метод выявления бактерий рода Shigella |
| Название англ.: | Food products. Method for detection of Shigella species bacteria |
| Дата актуализации текста: | 06.04.2015 |
| Дата актуализации описания: | 01.07.2023 |
| Дата издания: | 02.11.2011 |
| Дата введения: | 01.01.2012 |
| Дата окончания срока действия: | 15.02.2015 |
| На территории РФ пользоваться: | ГОСТ 32010-2013 |
| Нормативные ссылки: | ГОСТ Р ИСО 7218-2008; ГОСТ Р 51652-2000; ГОСТ Р 52814-2007; ГОСТ Р 54004-2010; ГОСТ 6672-75; ГОСТ 6691-77; ГОСТ 9284-75; ГОСТ 10444.1-84; ГОСТ 25336-82; ГОСТ 26669-85; ГОСТ 26670-91; ГОСТ 29228-91; ГОСТ 30425-97 |
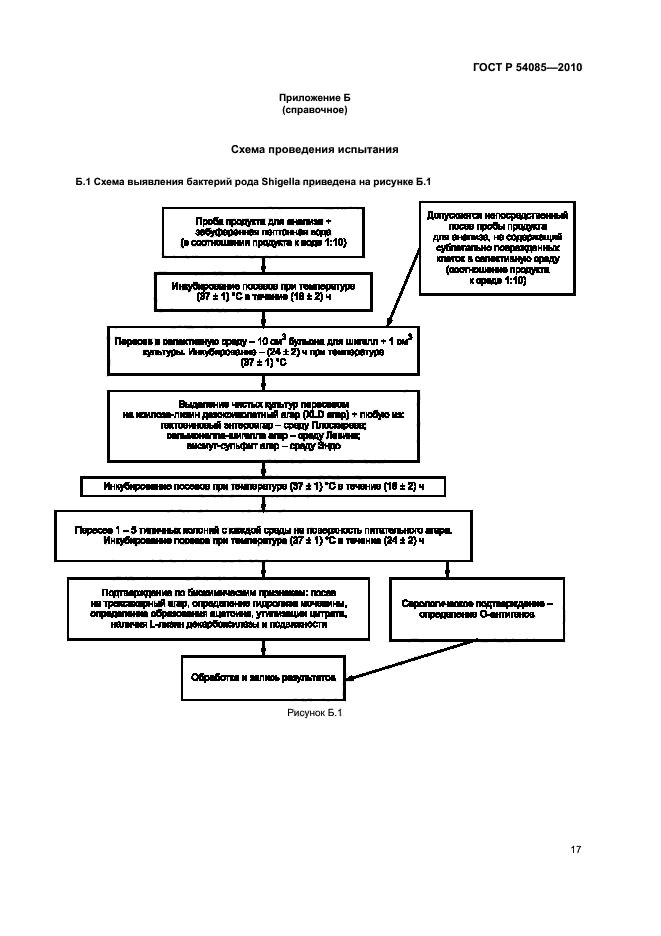
| Область применения: | Настоящий стандарт распространяется на пищевые продукты и устанавливает метод выявления в определенной массе или объеме пищевого продукта бактерий рода Shigella |
| Список изменений: | №0 от 15.02.2015 (рег. 26.06.2013) «Текстовое изменение; Изменено заглавие» |
| Расположен в: | |























