| ||||||||||||||||||||||||||||||||||
Скачать ГОСТ Р 54239-2010 Топливо твердое минеральное. Выбор методов определения микроэлементовДата актуализации: 01.06.2025
| ||||||||||||||||||||||||||||||||||
| Обозначение: | ![]() ГОСТ Р 54239-2010 |
| Статус: | заменён |
| Название рус.: | Топливо твердое минеральное. Выбор методов определения микроэлементов |
| Название англ.: | Solid mineral fuels. Selection of methods for the determination of trace elements |
| Дата актуализации текста: | 06.04.2015 |
| Дата актуализации описания: | 01.07.2023 |
| Дата издания: | 18.10.2011 |
| Дата введения: | 01.07.2012 |
| Дата окончания срока действия: | 01.04.2019 |
| Заменяющий: | ГОСТ Р 54239-2018 |
| Содержит требования: | ISO 23380:2008 |
| Нормативные ссылки: | ГОСТ Р ИСО 5725-1-2002; ГОСТ Р ИСО 5725-2-2002; ГОСТ Р ИСО 5725-3-2002; ГОСТ Р ИСО 5725-4-2002; ГОСТ Р ИСО 5725-5-2002; ГОСТ Р ИСО 5725-6-2002; ГОСТ Р 51760-2001; ГОСТ Р 52501-2005; ГОСТ Р 52917-2008; ГОСТ Р 54222-2010; ГОСТ Р 54237-2010; ГОСТ Р 54241-2010; ГОСТ Р 54242-2010; ГОСТ Р 54243-2010; ГОСТ 8.315-97; ГОСТ 1770-74; ГОСТ 6563-75; ГОСТ 6709-72; ГОСТ 9147-80; ГОСТ 9326-2002; ГОСТ 10478-93; ГОСТ 10742-71; ГОСТ 11022-95; ГОСТ 11303-75; ГОСТ 11305-83; ГОСТ 11306-83; ГОСТ 13867-68; ГОСТ 19908-90; ГОСТ 23083-78; ГОСТ 25336-82; ГОСТ 27589-91 |
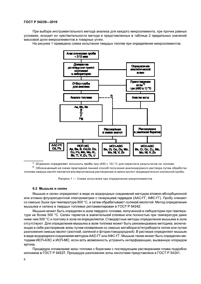
| Область применения: | Настоящий стандарт распространяется на каменные и бурые угли, лигниты, антрациты, горючие сланцы, торф, кокс, брикеты, твердые продукты и отходы обогащения и переработки топлив и устанавливает общие представления о выборе методов определения микроэлементов в твердом минеральном топливе. К микроэлементам, важным с точки зрения защиты окружающей среды, относят сурьму, мышьяк, бериллий, бор, кадмий, хлор, хром, кобальт, медь, фтор, свинец, марганец, ртуть, молибден, никель, селен, таллий, ванадий и цинк, а также радиоактивные микроэлементы торий и уран. В настоящием стандарте не приведено описание процедур определения отдельных микроэлементов. Для подтверждения правильности результатов определения микроэлементов проводят анализ подходящих аттестованных стандартных образцов |
| Расположен в: | |















