| ||||||||||||||||||||||||||||||||||||||||||
Скачать ГОСТ Р 52664-2010 Шпунт трубчатый сварной. Технические условияДата актуализации: 01.06.2025
| ||||||||||||||||||||||||||||||||||||||||||
| Обозначение: | ![]() ГОСТ Р 52664-2010 |
| Статус: | действующий |
| Название рус.: | Шпунт трубчатый сварной. Технические условия |
| Название англ.: | Welded pipe sheet piles. Specifications |
| Дата актуализации текста: | 01.01.2023 |
| Дата актуализации описания: | 01.07.2023 |
| Дата издания: | 12.08.2021 |
| Дата введения: | 01.09.2011 |
| Взамен: | ГОСТ Р 52664-2006 |
| Нормативные ссылки: | ГОСТ Р ИСО 2859-1; ГОСТ Р 52222; ГОСТ 380; ГОСТ 427; ГОСТ 1050; ГОСТ 1497; ГОСТ 2246; ГОСТ 3242; ГОСТ 5264; ГОСТ 6507; ГОСТ 6996; ГОСТ 7502; ГОСТ 7512; ГОСТ 7565; ГОСТ 8050; ГОСТ 8713; ГОСТ 8732; ГОСТ 9454; ГОСТ 9466; ГОСТ 9467; ГОСТ 10157; ГОСТ 10704; ГОСТ 10705; ГОСТ 10706; ГОСТ 11358; ГОСТ 14771; ГОСТ 14782; ГОСТ 15150; ГОСТ 19281; ГОСТ 20295; ГОСТ 23118; ГОСТ 30432; ГОСТ 8696; ГОСТ 8731; ГОСТ 27772; ГОСТ 32528; ГОСТ 33228;ГОСТ ISO 10893-12; ГОСТ Р 54864; ГОСТ Р 55724; ГОСТ Р 58064;СП 16.13330;СП 131.13330 |
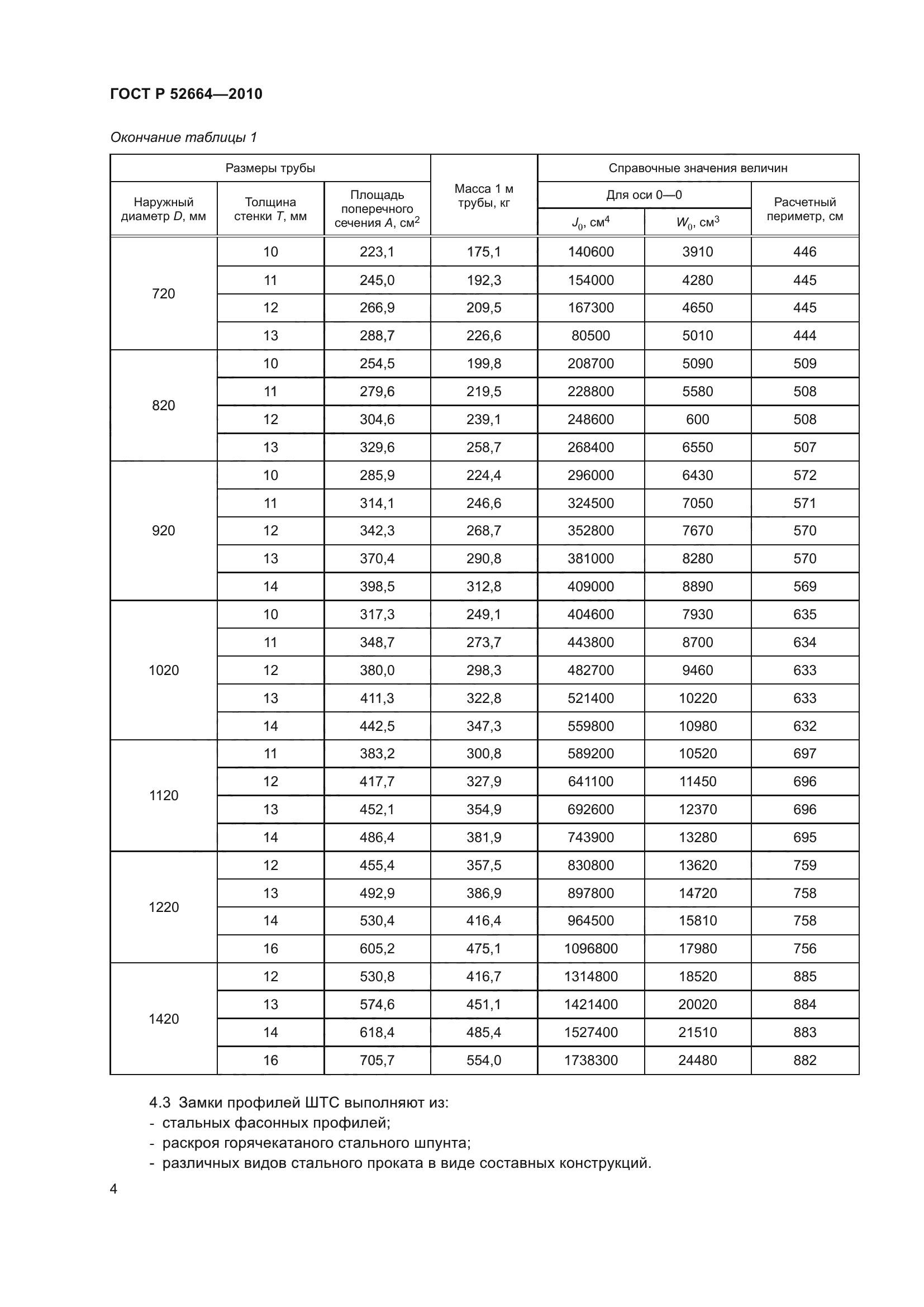
| Область применения: | Настоящий стандарт распространяется на шпунт трубчатый сварной, предназначенный для применения в гидротехническом, транспортном и промышленно-гражданском строительстве в конструкциях шпунтовых стен капитальных и временных сооружений, возводимых во всех климатических районах строительства [1] |
| Приложение №1: | Изменение №1 к ГОСТ Р 52664-2010 |
| Приложение №2: | Поправка к ГОСТ Р 52664-2010 |
| Расположен в: | |





















| Обозначение: | Изменение №1 к ГОСТ Р 52664-2010 |
| Дата введения: | 01.10.2020 |




| Обозначение: | Поправка к ГОСТ Р 52664-2010 |
| Дата введения: | 23.09.2022 |
