| Обозначение: |  ГОСТ Р ИСО 11170-2010 |
| Статус: | действующий |
| Название рус.: | Гидропривод объемный. Фильтроэлементы. Последовательность испытаний при проверке характеристик на соответствие требованиям |
| Название англ.: | Hydraulic fluid power. Filter elements. Sequence of tests for verifying performance characteristics |
| Дата актуализации текста: | 06.04.2015 |
| Дата актуализации описания: | 01.07.2023 |
| Дата издания: | 15.07.2011 |
| Дата введения: | 01.12.2011 |
| Аутентичен стандартам: | ISO 11170:2003 |
| Нормативные ссылки: | ISO 2941;ISO 2942;ISO 2943:1998;ISO 3723;ISO 3724;ISO 3968;ISO 4406;ISO 5598;ISO 16889 |
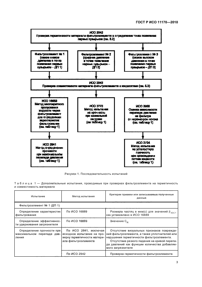
| Область применения: | В настоящем стандарте установлена последовательность испытаний для проверки фильтроэлементов на соответствие требованиям. Стандарт применяют при проверке гидравлических, механических характеристик фильтроэлементов и характеристик фильтрования. Настоящий стандарт не применяют для определения пригодности фильтра для конкретной цели или повторного использования. Методы испытаний, приведенные в настоящем стандарте, применимы к индивидуальным жидкостям или классам жидкостей, имеющих одинаковую химическую природу |
|
| Расположен в: |
|