| ||||||||||||||||||||||||||||||||||||
Скачать ГОСТ Р 54300-2011 Изделия огнеупорные для кладки воздухонагревателей и воздухопроводов горячего дутья доменных печей. Технические условияДата актуализации: 01.06.2025
| ||||||||||||||||||||||||||||||||||||
| Обозначение: | ![]() ГОСТ Р 54300-2011 |
| Статус: | отменён |
| Название рус.: | Изделия огнеупорные для кладки воздухонагревателей и воздухопроводов горячего дутья доменных печей. Технические условия |
| Название англ.: | Refractory products for laying of stoves and hot blast mains of blast furnaces. Specifications |
| Дата актуализации текста: | 06.04.2015 |
| Дата актуализации описания: | 01.07.2023 |
| Дата издания: | 05.05.2011 |
| Дата введения: | 01.07.2011 |
| Дата окончания срока действия: | 12.10.2018 |
| Код ОКП: | 153400;156400 |
| На территории РФ пользоваться: | ГОСТ 20901-2016 |
| Нормативные ссылки: | ГОСТ Р 51262.2-99; ГОСТ Р 53788-2010; ГОСТ Р 53065.2-2008; ГОСТ 12.1.005-88; ГОСТ 12.3.009-76; ГОСТ 17.0.01-76; ГОСТ 17.2.3.02-78; ГОСТ 162-90; ГОСТ 164-90; ГОСТ 2211-65; ГОСТ 2409-95; ГОСТ 2642.0-86; ГОСТ 2642.3-97; ГОСТ 2642.4-97; ГОСТ 2642.5-97; ГОСТ 2642.10-86; ГОСТ 4070-2000; ГОСТ 5402.1-2000; ГОСТ 7875.0-94; ГОСТ 7875.1-94; ГОСТ 8179-98; ГОСТ 24717-2004; ГОСТ 28833-90; ГОСТ 28874-2004; ГОСТ 30762-2001 |
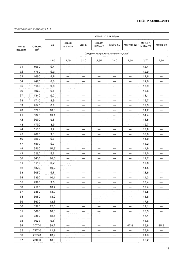
| Область применения: | Настоящий стандарт распространяется на огнеупорные изделия для кладки воздухонагревателей, воздухопроводов горячего дутья и фурменных зон доменных печей |
| Список изменений: | №0 от 12.10.2018 (рег. 08.10.2018) «Текстовое изменение; Изменено заглавие» |
| Расположен в: | |























