| Обозначение: |  ГОСТ Р 53889-2010 |
| Статус: | действующий |
| Название рус.: | Руководство по разработке спецификаций на характеристики и классы продукции. Часть 1. Основные возможности |
| Название англ.: | Guide for specification of product properties and classes. Part 1. Fundamental benefits |
| Дата актуализации текста: | 01.01.2021 |
| Дата актуализации описания: | 01.01.2021 |
| Дата издания: | 21.11.2018 |
| Дата введения: | 01.01.2011 |
| Аутентичен стандартам: | ISO/IEC Guide 77-1:2008 |
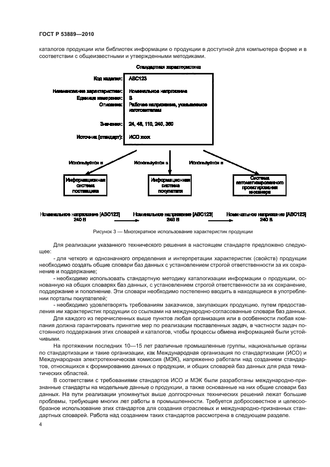
| Область применения: | Настоящий стандарт устанавливает руководство по разработке спецификаций на характеристики и классы продукции. В настоящем стандарте представлены общие рекомендации и методологические принципы описания продукции и ее характеристик, предназначенные для применения при составлении компьютерных библиотек, каталогов и словарей баз данных о продукции. Подобные описания должны содержать однозначные и подробные сведения о продукции и ее характеристиках, позволяющие обмениваться ими в электронной форме, не зависящей от специализированного прикладного программного обеспечения |
|
| Расположен в: |
|