| Обозначение: |  ГОСТ Р ИСО 14044-2007 |
| Статус: | заменён |
| Название рус.: | Экологический менеджмент. Оценка жизненного цикла. Требования и рекомендации |
| Название англ.: | Environmental management. Life cycle assessment. Requirements and guidelines |
| Дата актуализации текста: | 06.04.2015 |
| Дата актуализации описания: | 01.01.2021 |
| Дата издания: | 10.03.2010 |
| Дата введения: | 01.01.2009 |
| Дата окончания срока действия: | 01.01.2020 |
| Заменяющий: | ГОСТ Р ИСО 14044-2019 |
| Аутентичен стандартам: | ISO 14044:2006 |
| Нормативные ссылки: | ISO 14040:2006 |
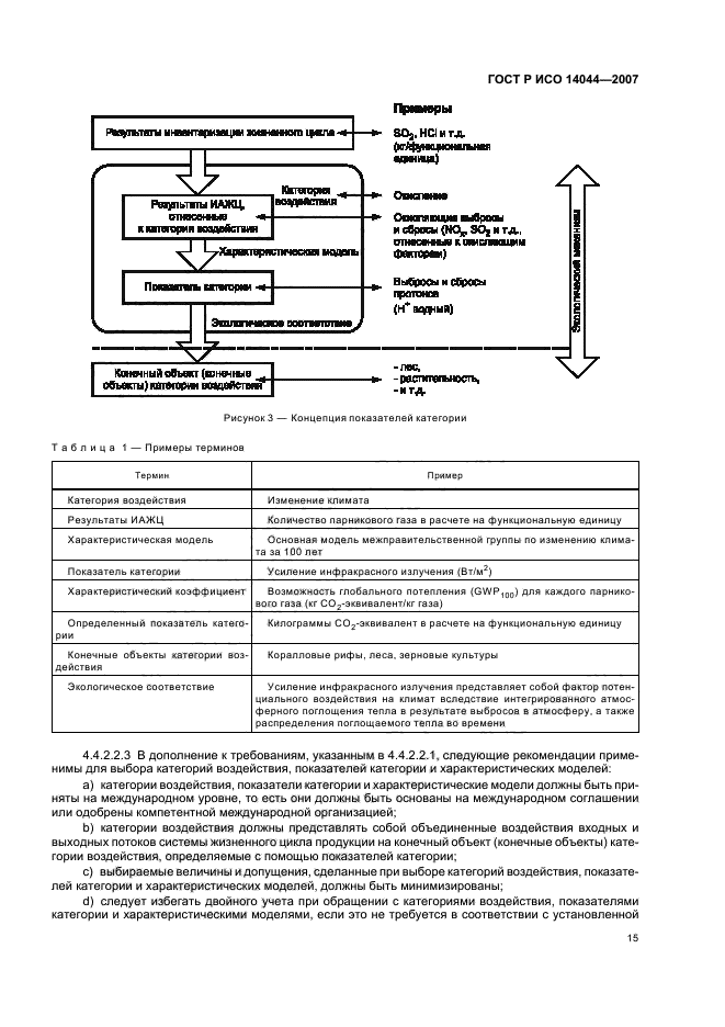
| Область применения: | Настоящий стандарт устанавливает требования к оценке жизненного цикла продукции (далее - ОЖЦ) продукции и предоставляет соответствующие рекомендации в отношении: a) установления цели и области применения ОЖЦ; b) стадии инвентаризационного анализа жизненного цикла (ИАЖЦ); c) стадии оценки воздействия жизненного цикла (ОВЖЦ); d) стадии интерпретации жизненного цикла; e) подготовки отчетов и критического анализа ОЖЦ; f) ограничений ОЖЦ; g) взаимозависимости стадии ОЖЦ, а также условий использования количественных значений и дополнительных элементов |
|
| Расположен в: |
|