| ||||||||||||||||||||||||||||||||||||||
Скачать ГОСТ Р 52948-2008 Фитинги из меди и медных сплавов для соединения медных труб способом прессования. Технические условияДата актуализации: 01.06.2025
| ||||||||||||||||||||||||||||||||||||||
| Обозначение: | ![]() ГОСТ Р 52948-2008 |
| Статус: | действующий |
| Название рус.: | Фитинги из меди и медных сплавов для соединения медных труб способом прессования. Технические условия |
| Название англ.: | Fittings from copper and copper alloys with compression ends for use with copper tubes. Specifications |
| Дата актуализации текста: | 06.04.2015 |
| Дата актуализации описания: | 01.07.2023 |
| Дата издания: | 22.12.2008 |
| Дата введения: | 01.07.2009 |
| Код ОКП: | 184450 |
| Нормативные ссылки: | ГОСТ Р 52318-2005; ГОСТ Р 52922-2008; ГОСТ 166-89; ГОСТ 269-66; ГОСТ 270-75; ГОСТ 613-79; ГОСТ 859-2001; ГОСТ 1953.1-79; ГОСТ 1953.2-79; ГОСТ 1953.3-79; ГОСТ 1953.4-79; ГОСТ 1953.5-79; ГОСТ 1953.6-79; ГОСТ 1953.7-79; ГОСТ 1953.8-79; ГОСТ 1953.9-79 ; ГОСТ 1953.10-79; ГОСТ 1953.11-79; ГОСТ 1953.12-79; ГОСТ 1953.13-79; ГОСТ 1953.14-79; ГОСТ 1953.15-79; ГОСТ 1953.16-79; ГОСТ 2768-84; ГОСТ 2991-85; ГОСТ 3282-74; ГОСТ 3560-73; ГОСТ 4461-77; ГОСТ 6507-90; ГОСТ ИСО 7323-96; ГОСТ 9557-87; ГОСТ 9717.1-82; ГОСТ 9717.2-82; ГОСТ 9717.3-82; ГОСТ 10198-91; ГОСТ 10354-82; ГОСТ 12082-82; ГОСТ 13938.1-78; ГОСТ 13938.2-78; ГОСТ 13938.3-78; ГОСТ 13938.4-78; ГОСТ 13938.5-78; ГОСТ 13938.6-78; ГОСТ 13938.7-78; ГОСТ 13938.8-78; ГОСТ 13938.9-78; ГОСТ 13938.10-78; ГОСТ 13938.11-78; ГОСТ 13938.12-78; ГОСТ 13938.13-93; ГОСТ 13938.15-88; ГОСТ 14192-96; ГОСТ 15102-75; ГОСТ 15846-2002; ГОСТ 18829-73; ГОСТ 21650-76; ГОСТ 22225-76; ГОСТ 24231-80; ГОСТ 24597-81; ГОСТ 25086-87; ГОСТ 26663-85; ГОСТ Р 52901-2007 |
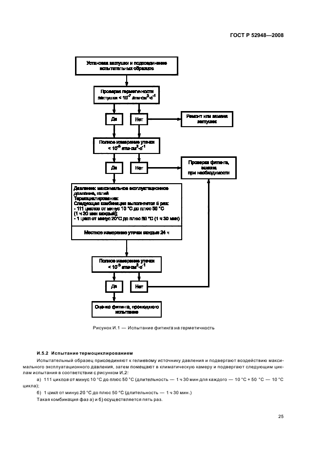
| Область применения: | Настоящий стандарт распространяется на фитинги из меди и медных сплавов, предназначенные для соединения способом прессования медных труб, изготовленных по ГОСТ Р 52318, и устанавливает требования к пресс-соединениям, используемым при монтаже трубопроводов в системах питьевого водоснабжения, холодного и горячего водоснабжения, водяного (парового) отопления, канализации, водоочистных сооружений, газоснабжения, а также в нагревательных и охлаждающих системах. Стандарт устанавливает допустимые эксплуатационные температуры, максимальное эксплуатационное давление, сортамент, технические требования, правила приемки, методы контроля и испытаний, маркировку и упаковку фитингов |
| Список изменений: | №1 от 30.04.2011 (рег. 21.01.2011) «Текстовое изменение; Изменены ссылочные НД» |
| Приложение №1: | Изменение №1 к ГОСТ Р 52948-2008 |
| Расположен в: | |








































| Обозначение: | Изменение №1 к ГОСТ Р 52948-2008 |
| Дата введения: | 01.05.2011 |
