| ||||||||||||||||||||||||||||||
Скачать ГОСТ Р 52899-2007 Шины пневматические для грузовых механических транспортных средств и прицепов. Технические условияДата актуализации: 01.06.2025
| ||||||||||||||||||||||||||||||
| Обозначение: | ![]() ГОСТ Р 52899-2007 |
| Статус: | действующий |
| Название рус.: | Шины пневматические для грузовых механических транспортных средств и прицепов. Технические условия |
| Название англ.: | Pneumatic tyres for truck power-driven vehiclеs and trailers. Specifications |
| Дата актуализации текста: | 06.04.2015 |
| Дата актуализации описания: | 01.07.2023 |
| Дата издания: | 27.10.2008 |
| Дата введения: | 01.01.2009 |
| Код ОКП: | 252110 |
| Нормативные ссылки: | ГОСТ Р 15.201-2000; ГОСТ Р 41.54-99; ГОСТ Р 51893-2002; ГОСТ Р 52051-2003; ГОСТ 2.124-85; ГОСТ 2.304-81; ГОСТ 27.002-89; ГОСТ 263-75; ГОСТ 2405-88; ГОСТ ИСО 4209-1-2006; ГОСТ ИСО 4209-2-2006; ГОСТ 7661-67; ГОСТ 7912-74; ГОСТ 8107-75; ГОСТ 10409-74; ГОСТ 11358-89; ГОСТ 15150-69; ГОСТ 16504-81; ГОСТ 22374-77; ГОСТ 24779-81; ГОСТ 25692-83; ГОСТ 26000-83; ГОСТ 27704-88 |
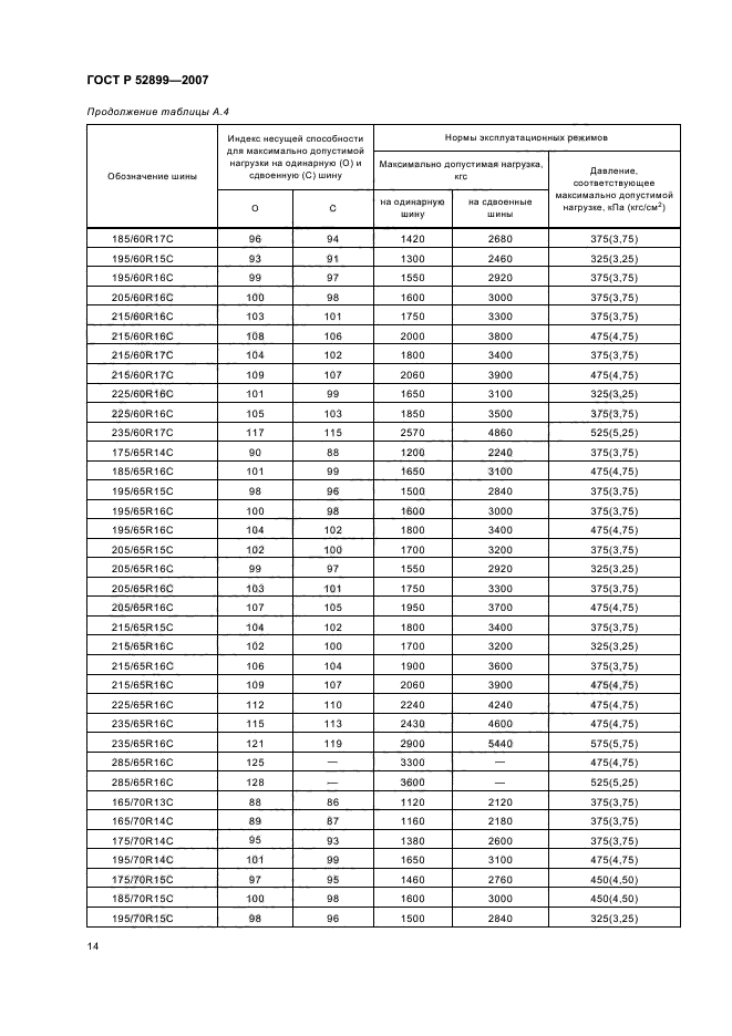
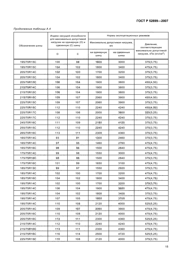
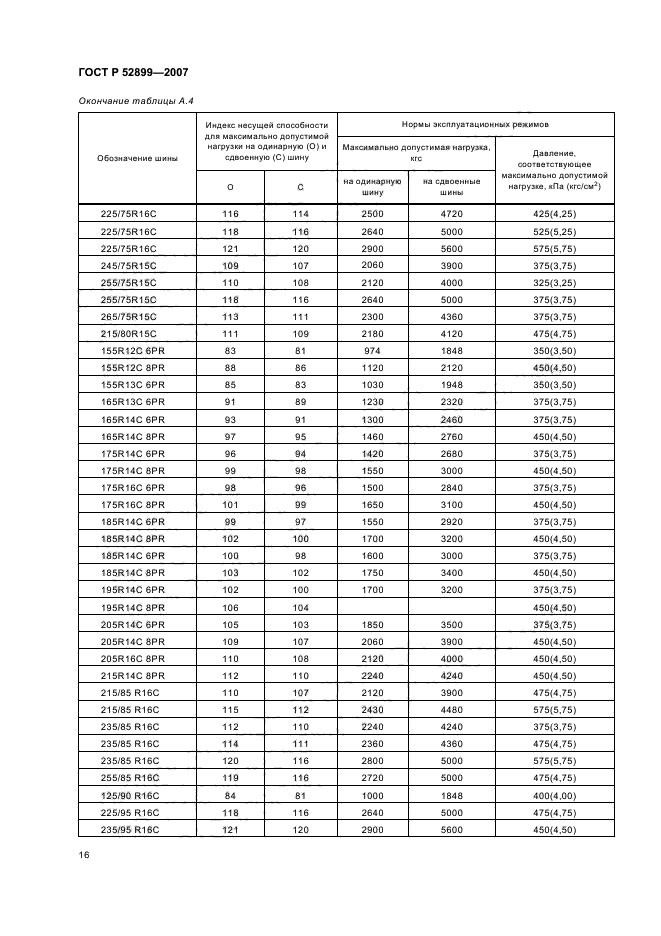
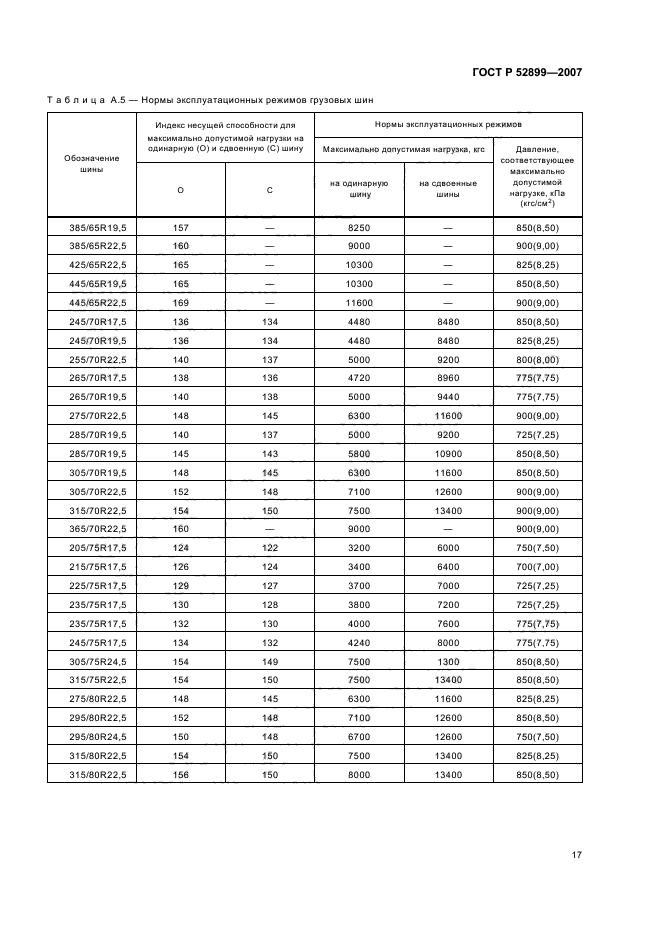
| Область применения: | Настоящий стандарт распространяется на новые пневматические шины для грузовых механических транспортных средств и прицепов (грузовых и легких грузовых автомобилей, автобусов и троллейбусов) категорий М2, М3, N, О3 и О4 по ГОСТ Р 52051, предназначенные для эксплуатации на дорогах различных категорий. Климатическое исполнение шин - по ГОСТ 15150. Стандарт не распространяется на шины с регулируемым давлением и на шины транспортных средств для работы в шахтах, рудниках, карьерах и других особых условий эксплуатации |
| Расположен в: | |



























