| ||||||||||||||||||||||||||||||||||||||||||||||||
Скачать ГОСТ Р 52814-2007 Продукты пищевые. Метод выявления бактерий рода SalmonellaДата актуализации: 01.06.2025
| ||||||||||||||||||||||||||||||||||||||||||||||||
| Обозначение: | ![]() ГОСТ Р 52814-2007 |
| Статус: | отменён |
| Название рус.: | Продукты пищевые. Метод выявления бактерий рода Salmonella |
| Название англ.: | Food products. Method for the detection of Salmonella |
| Дата актуализации текста: | 06.04.2015 |
| Дата актуализации описания: | 01.07.2023 |
| Дата издания: | 26.05.2010 |
| Дата введения: | 01.01.2009 |
| Дата окончания срока действия: | 15.02.2015 |
| Содержит требования: | ISO 6579:2002 |
| На территории РФ пользоваться: | ГОСТ 31659-2012 |
| Нормативные ссылки: | ГОСТ Р 51652-2000; ГОСТ 4209-77; ГОСТ 6672-75; ГОСТ 6691-77; ГОСТ 6709-72; ГОСТ 9284-75; ГОСТ 9536-79; ГОСТ 10444.1-84; ГОСТ 24104-2001; ГОСТ 24363-80; ГОСТ 26668-85; ГОСТ 26669-85; ГОСТ 26670-91; ГОСТ 30425-97; ГОСТ Р ИСО 7218-2008 |
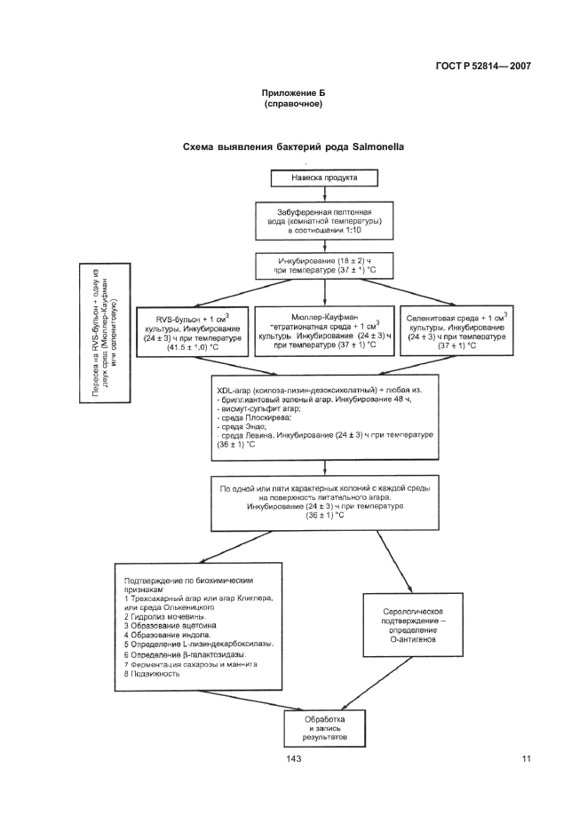
| Область применения: | Настоящий стандарт распространяется на пищевые продукты и устанавливает метод выявления в определенной массе или объеме продукта бактерий рода Salmonella, включая Salmonella Typhi и Salmonella Paratyphi. Допускается использование хромогенных сред для предварительного выявления бактерий рода Salmonella в масложировой продукции |
| Список изменений: | №0 от 28.05.2009 (рег. 28.05.2009) «Дата введения перенесена» №0 от 15.02.2015 (рег. 09.11.2012) «Текстовое изменение; Изменено заглавие» |
| Приложение №1: | Поправка к ГОСТ Р 52814-2007 |
| Приложение №2: | Поправка к ГОСТ Р 52814-2007 |
| Расположен в: | |






















| Обозначение: | Поправка к ГОСТ Р 52814-2007 |
| Дата введения: | 29.05.2009 |

| Обозначение: | Поправка к ГОСТ Р 52814-2007 |
| Дата введения: | 28.05.2009 |
