| Обозначение: |  ГОСТ Р ИСО 10819-99 |
| Статус: | отменён |
| Название рус.: | Вибрация и удар. Метод измерения и оценки передаточной функции перчаток в области ладони |
| Название англ.: | Mechanical vibration and shock. Method for the measurements and evaluation of the vibration transmissibility of gloves at the palm of the hand |
| Дата актуализации текста: | 06.04.2015 |
| Дата актуализации описания: | 01.07.2023 |
| Дата издания: | 18.04.2000 |
| Дата введения: | 01.07.2000 |
| Дата окончания срока действия: | 01.07.2020 |
| Код ОКП: | 878400 |
| Аутентичен стандартам: | ISO 10819:1996 |
| На территории РФ пользоваться: | ГОСТ ISO 10819-2017 |
| Нормативные ссылки: | ГОСТ 12.1.012-90; ГОСТ 12.4.012-83; ГОСТ 17168-82; ГОСТ 24346-80; ГОСТ 28846-90; ГОСТ Р ИСО 13753-99 |
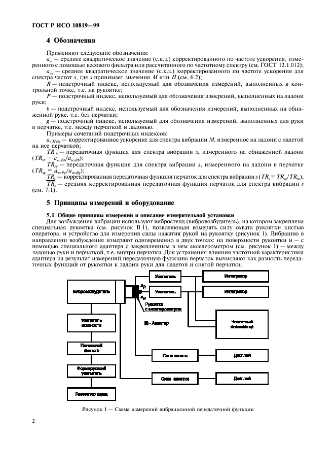
| Область применения: | Настоящий стандарт устанавливает метод лабораторных измерений, оценки и представления вибрационной предаточной функции перчаток в области ладони в диапазоне частот от 31,5 до 1250 Гц. Стандарт предназначен для определения условий испытаний на безопасность, связанных с передачей вибрации через перчатки |
|
| Расположен в: |
|