| Обозначение: |  ГОСТ Р 50037-92 |
| Статус: | действующий |
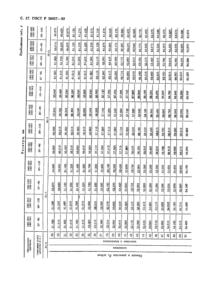
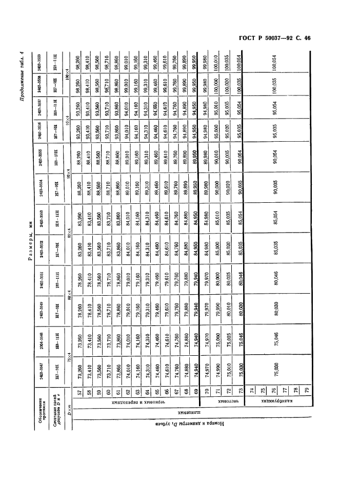
| Название рус.: | Протяжки с навертным хвостовиком для шлицевых отверстий с эвольвентным профилем диаметром от 55 до 130 мм, модулем от 3 до 4 мм с центрированием по наружному диаметру комбинированные. Конструкция |
| Название англ.: | Combined broaches with diameter from 55 to 130 mm for slitting holes with involute profile with wind round tail and centring at outside diameter with module from 3 to 4 mm. Construction |
| Дата актуализации текста: | 06.04.2015 |
| Дата актуализации описания: | 01.07.2023 |
| Дата издания: | 17.11.1992 |
| Дата введения: | 01.01.1993 |
| Код ОКП: | 392340 |
| Нормативные ссылки: | ГОСТ 2475-88; ГОСТ 4044-70; ГОСТ 6033-80; ГОСТ 14034-74; ГОСТ 20365-74; ГОСТ 28048-89; ГОСТ 28442-90; ГОСТ Р 50035-92 |
| Область применения: | Настоящий стандарт распространяется на комбинированные однопроходные протяжки универсального назначения с навертным хвостовиком диаметром D от 55 до 130 мм, модулем m от 3 до 4 мм, предназначенные для обработки шлицевых втулок с эвольвентным профилем по ГОСТ 6033 с центрированием по наружному диаметру |
|
| Расположен в: |
|